El circovirus porcino tipo 2 (PCV2) es el agente causal de las enfermedad asociada a circovirus porcino (PCVAD), pero requiere de factores adicionales para desencadenarla. En 2006 se introdujeron las vacunas frente a PCV2 en EEUU y fueron rápidamente adoptadas por toda la industria porcina para controlar los brotes de PCVAD. La vacunación frente a PCV2 es efectiva en la prevención de PCVAD, induciendo altos niveles de anticuerpos anti-PCV2 y reduciendo el nivel de PCV2 en suero, pero no eliminan el virus del animal.
En 2006, antes de que la vacuna estuviese disponible, la recogida de muestras en granjas porcinas demostró que la prevalencia en todo EEUU, tanto a nivel de infección por PCV2 como de respuesta serológica, era muy elevada (Puvanendiran et al., 2011). Nuestro laboratorio demostró que la infección se iniciaba en el útero y en la sala de partos, comportando una infección posiblemente de por vida (Dvorak et al., 2013).

Debido a que la vacunación es prácticamente universal y protege con éxito frente a PCVAD, nos preguntamos si, tras 6 años de vacunación continuada, la carga viral habría disminuido y si se mantenía la elevada respuesta serológica. Por lo tanto, analizamos muestras serológicas del Sistema Nacional Norteamericano de Monitoreo sanitario de porcino para reevaluar la infección y el estado inmunitario tanto de cerdos individuales como de explotaciones porcinas.
Resultados
De 2012, se obtuvieron muestras de suero de 2.044 individuos procedentes de 137 explotaciones de porcino de 12 estados y, de 2006, de 6.046 individuos de 185 granjas de 16 estados. En ambos casos se incluían granjas de las principales regiones productoras de cerdos.
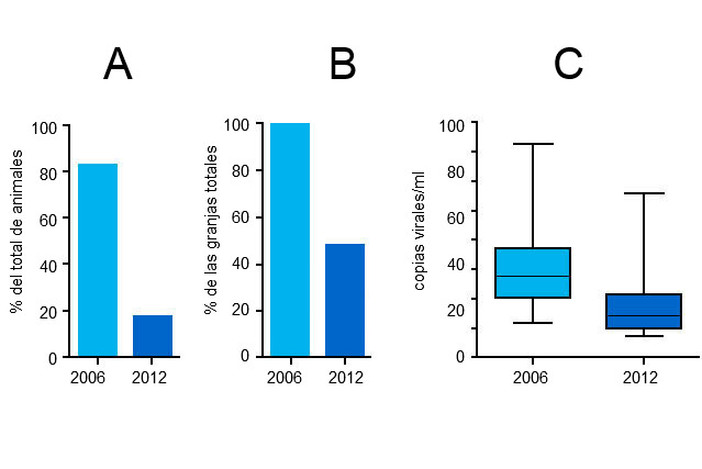
El número de animales y granjas que estaban infectados con PCV2 se redujo ampliamente en 2012 (el 17,2% de los animales, y el 47,9% de las granjas estaban infectados) en comparación con las cifras de 2006 (el 82,6% de los individuos y el 99,5% de las granjas estaban infectados) (figura 1A y B). También se observó un enorme descenso en la cantidad de virus al comparar los animales positivos de 2012 con los de 2006 (una reducción media de unas 22 veces menos, con un valor máximo de hasta 49 veces menos) (figura 1C).

Figura 1. Niveles de viremia de PCV2 en 2006 y 2012. A: Porcentaje de cerdos virémicos en 2006 y en 2012; B: Porcentaje de engordes con animales virémicos, y C: Distribución de la viremia en cerdos de acabado.

Figura 2. Anticuerpos frente a PCV2 en suero de cerdos de engorde en 2006 y en 2012. A. Porcentaje de animales positivos y granjas positivas (que al menos contienen un cerdo positivo) en 2012. B: Porcentaje de animales y granjas con anticuerpos frente a PCV2 inducidos por infección natural en 2006 y 2012.
Pese a que la vacunación está muy extendida, en 2012 sólo se detectaron anticuerpos frente a PCV2 en el 41% de los cerdos de engorde (figura 2A). Sin embargo, en el 94,9% de los cebos por lo menos un animal era seropositivo (figura 2A). En 2012 se habían reducido mucho los anticuerpos frente a PCV2 procedentes de infecciones naturales en los cerdos de cebo y en las granjas (19,0% de los cerdos, 74% de las granjas) en comparación con las cifras de 2006 (79% de los cerdos, 99% de las granjas) (figura 2B). En 2006 todas las respuestas serológicas eran debidas a infecciones naturales, ya que la vacunación todavía no estaba disponible. En 2012, las respuestas serológicas eran inducidas tanto por infecciones naturales como por vacunaciones. La infección natural se determinaba por la presencia de anticuerpos frente a la replicasa viral. La replicasa sólo se produce por el virus vivo, no está presente en las vacunas frente a PCV2.
Conclusiones
Desde la introducción de vacunas muy efectivas frente a PCV2 en 2006, la presencia y la carga viral han disminuido mucho en la población porcina. Actualmente los cerdos tienen una carga viral menor y no se detecta virus por PCR en la mayoría de explotaciones, lo que sugiere que la vacunación continuada ha logrado que algunas granjas negativicen frente a PCV2 con el tiempo. Pese a que el mecanismo por el que la vacunación controla la infección no está resuelto, su uso continuado está comportando una reducción dramática, por debajo de los niveles detectables, de la prevalencia de PCV2 en porcino. Al mismo tiempo, concluimos que la mayoría de cerdos siguen infectados por PCV2 a niveles inferiores al límite de sensibilidad de la PCR, ya que más del 70% de las explotaciones contienen animales con anticuerpos anti-replicasa inducidos por la infección natural. La infección también explicaría los casos anecdóticos de PCVAD asociados a interrupciones de la vacunación. Por lo tanto, la vacunación sigue siendo importante para proteger a los animales frente a PCVAD.



