La vacunación mejora el rendimiento de los lechones durante el posdestete

20-nov-2023
X
XLinkedinWhatsAppTelegramTelegram
"Vaccination with an Escherichia coli F4/F18 vaccine improves piglet performance during the post-weaning period resulting in an overall positive economic result".

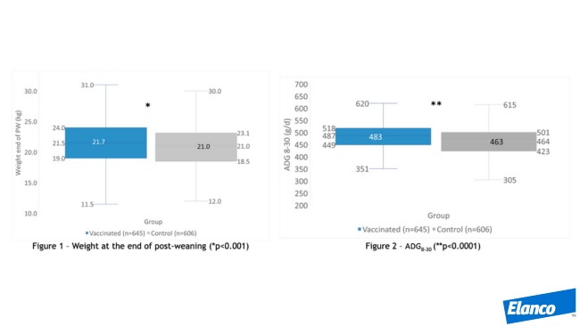
Este contenido se basa en el póster "Vaccination with an Escherichia coli F4/F18 vaccine improves piglet performance during the post-weaning period resulting in an overall positive economic result" presentado por F. Vangroenweghe y L. Reijmer en el ESPHM 2023.

El objetivo de este estudio fue evaluar el efecto de una vacuna oral viva no patógena de E. coli F4/F18 en condiciones de campo en 12 lotes consecutivos (n = 33.216 lechones) frente al tratamiento antimicrobiano estándar en 12 lotes históricos (n = 32.720 lechones).

Las conclusiones de los autores indican que la vacunación frente a la diarrea posdestete con una vacuna viva no patógena de E. coli F4/F18 puede considerarse una alternativa valiosa para consolidar el rendimiento de los lechones y al mismo tiempo cumplir con los nuevos requisitos de la UE sobre el uso prudente de antimicrobianos en la producción porcina intensiva.

PM-ES-23-0268 t

X
XLinkedinWhatsAppTelegramTelegram
me gustacomentaMis favoritos

Contacto:

Contacta con nosotros a través del siguiente formulario.