Ketoprofeno oral: antipirético más eficaz versus ácido acetilsalicílico y paracetamol
El ketoprofeno es un antiinflamatorio no esteroideo (AINE). Este principio activo inhibe la síntesis de prostaglandinas (PGE2 y PGF2α) y tromboxanos. Presenta actividad antiinflamatoria, antipirética y analgésica.
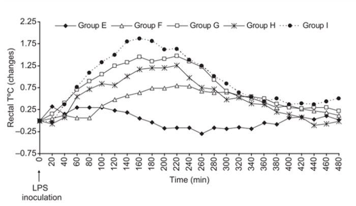
Salichs et al. (2012) realizaron un estudio aleatorizado con 9 grupos con un total de 46 cerdos de entre 20,5 a 50,5 kg de peso vivo. Los cerdos recibieron una inyección intramuscular de una solución de LPS (lipopolisacárido) de Escherichia coli (35 µg/ml). Este modelo experimental ha sido aprobado por la comunidad científica para aumentar la temperatura rectal (Mustonen et al., 2012; Salichs et al., 2012). Los diferentes tratamientos administrados se resumen en la Tabla 1.
Tabla 1. Protocolo y tratamientos empleados en los diferentes grupos experimentales.
Extraído de Salichs et al. (2012).

Los resultados de este estudio confirman la superioridad del ketoprofeno en términos de potencia farmacológica. Su efecto antipirético, cuando se administró en agua potable a 1,5 mg/kg fue significativamente mayor que el ejercido por el paracetamol a 30 mg/kg o el ácido acetilsalicílico a 100 mg/kg y 35 mg/kg (Figura 1).

Figura 1. Evolución de la temperatura rectal media cuando los diferentes fármacos son administrados en agua de bebida: grupo E (ketoprofeno 1,5 mg/kg), grupo F (ácido acetilsalicílico 100 mg/kg), grupo G (ácido acetilsalicílico 35 mg/kg), Grupo H (30 mg/kg) y grupo I (control positivo). Extraído de Salichs et al. (2012).
En conclusión, comparando los resultados obtenidos a partir de todos los grupos, el tratamiento antipirético más eficaz fue el ketoprofeno oral vía agua de bebida a 1,5 mg/kg.
Ketoklass, ketoprofeno 100 mg/ml en solución oral para administrar por agua de bebida, presenta una absorción rápida y una biodisponibilidad elevada (93%). Se utiliza para el tratamiento sintomático de la fiebre y la inflamación y presenta un periodo de resguardo de 2 días.
Para más información sobre Ketoklass, visita:
https://www.mpaveterinary.com/producto/ketoklass/
Para cualquier consulta referente a Ketoklass u otros productos de MPA Veterinary Medicines and Additives en LATAM, contacta con infolatam@mpaveterinary.com / +56 93 88 616 71.
Referencias:
- Mustonen et al., 2012. Dose-response investigation of oral ketoprofen in pigs challenged with Escherichia coli endotoxin. Vet. Rec. July 21, 1–5. https://doi.org/10.1136/vr.100431
- Salichs et al., 2012. Comparison of the antipyretic efficacy of ketoprofen, acetylsalicylic acid, and paracetamol, orally administered to swine. J. Vet. Pharmacol. Ther. 35, 198–201. https://doi.org/10.1111/j.1365-2885.2011.01314.x