
Comment l'espace d'alimentation et la taille du groupe affectent-ils les performances ?
Quel est l'effet de l'espace au nourrisseur et de la taille du groupe sur la croissance et les lésions des oreilles et de la queue ?

Un résumé tous les 15 jours des nouveautés de 3trois3.com
Connectez-vous et inscrivez-vous à la liste

Quel est l'effet de l'espace au nourrisseur et de la taille du groupe sur la croissance et les lésions des oreilles et de la queue ?

Pendant la lactation, il est essentiel de garantir la consommation d'eau de la truie, ainsi que de maintenir le rapport eau : aliment nécessaire pour obtenir une perte de poids moindre pour la truie et un gain quotidien plus important pour les porcelets.

Bien que les porcs ne soient pas particulièrement efficaces dans la fermentation des fibres, il existe heureusement sur le marché différentes enzymes qui les dégradent, mais il est important d'utiliser des enzymes spécifiques qui correspondent au substrat.

Comment l'alimentation au cours des jours précédant la mise-bas influence-t-elle le poids du porcelet à la naissance ? Et le poids au sevrage ?

L'harmonisation du contrôle à court et à long terme de la prise alimentaire nécessite un système chimiosensoriel précis capable de communiquer avec le cerveau.

Les écarts du profil de consommation normal de la truie pendant la phase de lactation ont d'importantes implications productives.

Quels nutriments pouvons-nous fournir ou réduire dans l'alimentation des porcelets pendant la lactation et après le sevrage pour améliorer la réponse immunitaire et la croissance ?

Quels nutriments pouvons-nous apporter à la truie pour améliorer la croissance fœtale, moduler la réponse inflammatoire et la production de lait et de colostrum ?

Bienvenue sur 3trois3
Connecte-toi, échange et contacte la plus large communauté de professionnels de la filière porcine.
Nous sommes déjà 203175 Utilisateurs
inscrivez-vousDéjà membre ?


Parmi les causes possibles, on peut penser à un faible niveau de vitamine E dans l'alimentation des truies, à un empoisonnement à la warfarine ou à un purpura thrombocytopénique.

Ce qu'il faut évaluer pour établir les courbes d'alimentation, comment, quand et pourquoi augmenter l'aliment, la quantité d'aliment par prise et d'autres questions répondues à partir de l'expérience d'élevage de Can Ballau, Porc d'Or de la productivité numérique

Le rôle des fibres alimentaires mérite d'être examiné dans le cadre de nouvelles stratégies visant à atténuer les problèmes entériques, en l'absence de taux élevés d'oxyde de zinc.

Le moment auquel les aliments sont distribués affecte-t-il les performances de reproduction ?

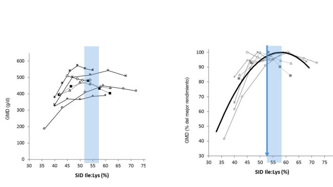
Des niveaux insuffisants d'isoleucine dans les aliments à faible teneur en protéines brutes peuvent compromettre la croissance et l'efficacité alimentaire des porcelets.

L'apport supplémentaire de nutriments par l'eau de boisson est un outil rapide en période de stress.

Quel est le risque de transmission de maladies par l'importation de matières premières ? De nombreux ingrédients sont produits en Chine.

La fibre de la ration améliore la production de colostrum des truies et réduit la durée de la mise-bas. Mais ... combien de grammes de fibres sont recommandés au cours de la dernière semaine avant la mise-bas ?


Cet article passe en revue les stratégies nutritionnelles permettant une digestion et une absorption des nutriments plus efficaces, ce qui favorise la santé intestinale.

Cet article décrit et compare les systèmes mis en place ces dernières années: le feeling ball, les systèmes d’alimentation à sec et l’alimentation liquide. Savez-vous lequel correspond le mieux à vos besoins ?

Comment atteindre la consommation moyenne en lactation d'environ 6 kg dont les truies actuelles à haute production ont besoin?

Les probiotiques peuvent augmenter la consommation alimentaire des truies, protéger les porcelets contre la diarrhée, améliorer la qualité de la viande, etc.

Comment pouvons-nous promouvoir un microbiote plus sain, favorable au porc et à sa productivité? Et quel est le meilleur moment pour l'obtenir?

Certaines stratégies nutritionnelles peuvent avoir une activité antibactérienne... Voulez-vous savoir lesquelles?

L'utilisation de protéases a eu des résultats à la fois positifs et non concluants, incohérents ou même négatifs.

Probiotiques et acides aminés pour améliorer la barrière intestinale.
Ac. Oméga-3, plasma, probiotiques, prébiotiques, etc. pour renforcer la réponse immunitaire.



Revue des stratégies nutritionnelles pour la gestion de la santé intestinale regroupées en additifs fonctionnels, ingrédients fonctionnels et modifications de l'alimentation.

Qu'est-ce que le stress oxydatif et pourquoi est-il si important? Quelle relation peut-il avoir avec les morsures de la queue, le sevrage, la fin de la gestation ou une forte production de lait ?

La plupart des travaux publiés montrent que l'utilisation d'acides gras chez les porcs présente des avantages pour la santé, bien que leur mode d'action soit encore débattu.

La croissance excessive de la corne du sabot, qui provoque des "sabots en pantoufle", des fissures ou une séparation et une fourbure septique secondaire a une origine multifactorielle.

La recherche sur la nutrition des truies n'a historiquement représenté que 2% de la littérature scientifique sur les porcs, mais cela est en train de changer grâce aux nouvelles installations commerciales.

Cet article évalue de manière critique l'utilisation de probiotiques au sevrage et fournit quelques suggestions pour améliorer les résultats en utilisant probiotiques chez les porcelets.


Bienvenue sur 3trois3
Connecte-toi, échange et contacte la plus large communauté de professionnels de la filière porcine.
Nous sommes déjà 203175 Utilisateurs
inscrivez-vousDéjà membre ?Un résumé tous les 15 jours des nouveautés de 3trois3.com
Connectez-vous et inscrivez-vous à la liste