
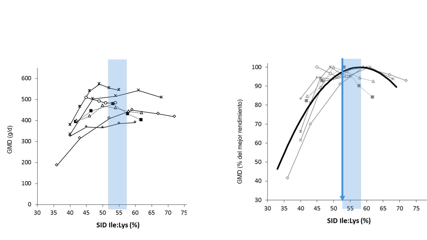
Les régimes pauvres en protéines et les besoins en isoleucine chez les porcelets
Des niveaux insuffisants d'isoleucine dans les aliments à faible teneur en protéines brutes peuvent compromettre la croissance et l'efficacité alimentaire des porcelets.





