X
XLinkedinWhatsAppTelegramTelegram
0
Lee este artículo en:

Mortalidad predestete I: ¿Cuándo se mueren los lechones?

Uno de los parámetros productivos al que más esfuerzos han dedicado los productores de genética es a la mejora de la prolificidad, consiguiendo mejoras sostenidas a lo largo de los últimos años. Sin embargo, en muchas ocasiones esta capacidad de los animales no se ve reflejada en destetar un mayor número de lechones , por lo que dicha mejora no es percibida por el productor.

Uno de los parámetros productivos al que más esfuerzos han dedicado los productores de genética es a la mejora de la prolificidad, consiguiendo mejoras sostenidas a lo largo de los últimos años. Sin embargo, en muchas ocasiones esta capacidad de los animales no se ve reflejada en destetar un mayor número de lechones , por lo que dicha mejora no es percibida por el productor. El camino entre el número de los lechones a término en la cerda gestante y los que se llegan a destetar encuentra dos grandes obstáculos, lechones viables que no superan el proceso del parto (habitualmente registrados como nacidos muertos) y lechones que superándolo y, por tanto naciendo vivos, no llegan a alcanzar el destete. Sin embargo, los registros no siempre son correctos, ya que es común encontrar lechones que mueren en el proceso del parto y, por tanto, en realidad son nacidos muertos pero que a veces se anotan como bajas en lactación o, por el contrario, podemos encontrar lechones anotados como nacidos muertos cuando en realidad nacieron vivos y murieron durante las primeras horas de su vida debido a su baja viabilidad. Para diferenciar si el lechón nació vivo o muerto, se puede realizar lo que se conoce como “prueba del pulmón” que consiste en extraer los pulmones del lechón muerto y meterlos en un cubo de agua. Si los pulmones flotan, indican que contienen aire por lo que el lechón llegó a respirar y, por tanto, nació vivo. Por el contrario, si se hunden indican que el lechón nació muerto ya que no llegó a respirar. Efectuar esta prueba ocasionalmente sobre lechones que hemos anotado de una u otra manera nos ayudará a conocer el porcentaje de aciertos en nuestro diagnóstico.

Dedicaremos dos artículos a la mortalidad pre-destete(MPD), dejando para más adelante el estudio de los nacidos muertos. En este primer artículo sobre MPD, vamos a centrarnos en la edad que tienen los lechones al morir, en el siguiente estudiaremos las causas de mortalidad.

MPD por edad: ¿cuándo se mueren los lechones?

A continuación vamos a revisar la mortalidad pre-destete por edad del lechón. Tal y como se observa en el gráfico 1, realizado a partir de nuestra base de datos, la mayoría de las muertes en lactación se producen en los primeros días de vida del lechón, y especialmente los días 0 (día del parto) y 1.

Gráfico 1: Distribución por edad de bajas en lactación. Año 2006

Esta es una tendencia muy consistente que, salvo problemas específicos, debe observarse en cualquier granja. En el gráfico 2 se presentan datos recientes (último trimestre) de un gran productor confirmando la misma tendencia:

Gráfico 2: Distribución por edad de bajas en lactación. Jul-Oct 2007

2046 bajas en lechones entre 28 de julio de 2007 y 26 de octubre de 2007
(media de edad de los lechones 6,3 días)


La coincidencia del periodo en que el lechón es más débil (nace con muy pocas reservas de energía, prácticamente sin defensas y con poca capacidad de termorregulación), con el periodo de máxima dificultad, (temperatura ambiente, competencia con los demás lechones por encalostrarse, riesgo de aplastamiento, etc), genera la distribución de mortalidad en función de la edad que se muestra en los gráficos 1 y 2, cuyos porcentajes podemos considerar como normales.

Por tanto, a la vista de estos resultados, resulta obvio pensar que el momento del parto y las horas-días siguientes son los momentos más críticos dentro del ciclo productivo y, como consecuencia, un buen manejo en este momento redundará muy positivamente en el resultado final (no es difícil incrementar 0,5 lechones por cerda y año con un manejo correcto en ese momento), y viceversa, es decir, la falta de atención en este momento puede penalizar seriamente el número de lechones destetados.

A continuación, y aunque no sea el objeto específico de esta sección, queremos recordar algunas recomendaciones básicas para el manejo en las primeras horas de vida del lechón:

-Proporcionar un ambiente adecuado al lechón (temperatura correcta, nidos, suelo adecuado con cama de papel o viruta, ausencia de corrientes de aire…)

-Asegurar el encalostramiento de todos los lechones (lactaciones compartidas, encalostramiento manual, etc)

-Seguir una buena sistemática de acoples de lechones. Aunque en este punto hay varias teorías o formas de trabajar, el fin de esta práctica es el de igualar oportunidades: proporcionar a los lechones más pequeños las mejores cerdas, dejando para los más grandes, que tienen más recursos, las mamas más difíciles (cerdas viejas, mamitis). Lógicamente, también incluye el colocar en cada camada tantos lechones como mamas viables posea la cerda.

-Supervisar cuidadosamente a la cerda recién parida, para evitar problemas que puedan influir en su capacidad lechera (mamitis, infecciones post-parto, problemas de aplomos).

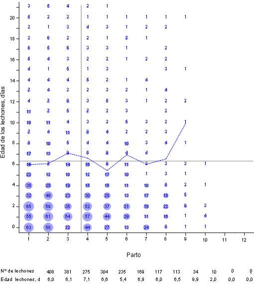
En cuanto a la edad media de mortalidad predestete por parto, en el siguiente gráfico se observa como no hay grandes variaciones entre los distintos partos. Luego, en este sentido, no hay que hacer discriminaciones por partos a la hora de prestar atención a los lechones: sea cual sea la edad de la cerda, el período crítico siempre va a estar en las primeras horas y días post-parto.

Gráfico 3: Distribución de las bajas según el número de parto. Jul-Oct 2007

2046 bajas en lechones entre 28 de julio de 2007 y 26 de octubre de 2007
(media de edad de los lechones 6,3 días)


Comentarios del artículo

Este espacio no está orientado a ser una zona de consultas a los autores de los artículos sino que pretende ser un lugar de discusión abierto a todos los usuarios de 3tres3
Publica un nuevo comentario

Para comentar debes registrarte en 3tres3 y acceder como usuario.

No estás suscrito a la lista La web en 3 minutos

Un resumen semanal de las novedades de 3tres3 Argentina

Accede y apúntate a la lista

Artículos relacionados

No estás suscrito a la lista La web en 3 minutos

Un resumen semanal de las novedades de 3tres3 Argentina

Accede y apúntate a la lista