X
XLinkedinWhatsAppTelegramTelegram
0
Lee este artículo en:

El control de Salmonella en porcino en la actualidad

Los planes de control, que debían haber comenzado en 2012, siguen sin estar implantados en la mayoría de los países europeos a día de hoy.

El contexto del control de Salmonella; el impulso en la primera década del siglo XXI

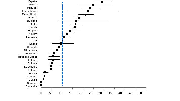
Durante la primera década del siglo XXI Salmonella se convirtió en uno de los principales patógenos a controlar en el ganado porcino. El elevado número de casos de salmonelosis, que en aquella época superaban los 200.000 por año en la Unión Europea (UE), y el éxito, al menos parcial, de los programas de control en países nórdicos, impulsó la realización de una serie de estudios de prevalencia basal en avicultura y porcino en la UE cuyos resultados servirían para establecer los objetivos de futuros programas de control y reducción de la prevalencia en cada uno de los estados miembros. Los estudios transversales en cerdos reproductores y cerdos de engorde revelaron prevalencias más o menos importantes en países con elevada producción y exportación (EFSA, 2008; 2009) (figura 1 y 2). Sin embargo, los planes de control, que debían haber comenzado en 2012, siguen sin estar implantados en la mayoría de los países europeos a día de hoy.

Figura 1. Prevalencia de Salmonella en cerdos de engorde en los países de la UE (EFSA, 2008)
Figura 1. Prevalencia de Salmonella en cerdos de engorde en los países de la UE (EFSA, 2008)
Figura 2. Prevalencia de Salmonella en cerdas en los países de la UE (EFSA, 2010). Los datos muestran el porcentaje de granjas positivas.
Figura 2. Prevalencia de Salmonella en cerdas en los países de la UE (EFSA, 2010). Los datos muestran el porcentaje de granjas positivas.

Tabla 1. Situación de los programas de control de Salmonella en porcino según países.

País Referencia Fecha comienzo Tipo de programa Características Estrategias
Suecia Noruega Finlandia Bengtsson y col., 2009
Hofshagen y col., 2007
Huttunen y col. 2006
Desde la década de 1960 Erradicación Análisis por bacteriología de muestras en fábricas de pienso, granjas y carne. Sacrificio de grupos de animales e implementación de medidas de higiene controladas por muestreos sucesivos.
Dinamarca Baggesen y col. 1996
Alban y col., 2012
1995 Control. Obligatorio
Revisado y actualizado 2010-2012.
Primer programa de control implementado en la UE.
Basado en la categorización serológica de las granjas.
Objetivos de reducción basados en prevalencia en canales en matadero.
Medidas de control en granja con énfasis en bioseguridad e higiene en matadero.
Irlanda Quirke y col. 2001 1997 Control. Obligatorio
Revisado y actualizado en 2010.
Basado en la clasificación serológica de las granjas.
Después de la revision de 2010 en 2 categorias (<50% y >50%).
Pendiente de nueva actualización.
Recomendación de implementar estrategias de control en granjas positivas.
Alemania Osterkon y col. 2001 2002 Control. Voluntario. Serología. Basado en clasificación serológica de granjas (similar al sistema danés en origen) Recomendación de implementar estrategias de control en granjas positivas.
Inglaterra Snary et al. 2010 2002 Control. Obligatorio. En origen serología con tres niveles <50%; >50%; >75%
En 2008 todas las granjas con seroprevalencia >10% se consideran positivas.
Actualmente ya no se realiza el control serológico.
Todas las granjas tienen que tener un plan de control de Salmonella.
Holanda Hanssen y col. 2007 2005 Control. Obligatorio. Serología de granja (similar al programa danés en origen)
Muestreo aleatorio de canales en todos los mataderos del país.
Recomendación de implementar estrategias de control en granjas positivas e higiene en mataderos con prevalencia en canales superior a 0.8%.

Motivos por los que no ha prosperado la obligatoriedad de los programas de control en la UE

Los análisis de riesgo microbiológico realizados a partir de los datos obtenidos en los estudios de prevalencia en reproductores y cerdos de engorde de la UE revelaron que los programas de control no iban a ser viables desde un punto de vista coste-beneficio, siendo el beneficio la reducción del número de casos en personas (EFSA, 2010).

Unido a lo anterior, la crisis económica en la que se vieron involucrados los países europeos y que supuso una disminución de recursos destinados a nuevos planes de control de enfermedades.

Además hay que añadir el éxito de los programas de control en avicultura que han supuesto una reducción a más de la mitad del número de casos en personas (actualmente en torno a 80.000 casos/año).

Por último, la complejidad de la producción porcina y de la epidemiología de la infección por Salmonella hacen difícil establecer medidas concretas y extrapolables para su control, lo que contrasta con el control en avicultura.

¿Por qué sigue siendo importante Salmonella?

Aunque podríamos pensar que Salmonella es un patógeno “cuya moda ya pasó”, sigue teniendo gran relevancia para el sector de la industria porcina:

  • Salmonella es la principal zoonosis en el ganado porcino.
  • El porcentaje relativo de casos atribuidos al consumo de carne de cerdo contaminada por Salmonella se ha incrementado como consecuencia del éxito de los programas de control de esta infección en avicultura. En aquellos países donde la carne de ave está libre de Salmonella, la carne de cerdo junto con los huevos son las principales fuentes de salmonelosis humana (figura 3)
Figura 3. Estimaci&oacute;n del origen de salmonelosis en personas (EFSA,2011). Las flechas rojas indican aquellos pa&iacute;ses (B&eacute;lgica, Dinamarca, Francia e Italia) donde la carne de cerdo es el principal origen de toxi-infecciones por Salmonella consecuencia del &eacute;xito de los programas de control en pollos.
Figura 3. Estimación del origen de salmonelosis en personas (EFSA,2011). Las flechas rojas indican aquellos países (Bélgica, Dinamarca, Francia e Italia) donde la carne de cerdo es el principal origen de toxi-infecciones por Salmonella consecuencia del éxito de los programas de control en pollos.
  • Salmonella es uno de los patógenos que más resistencias a antibióticos ha desarrollado y aparece como uno de los microorganismos a monitorizar en la reciente opinión sobre la reducción del uso de antibióticos en producción animal publicada por la EFSA-EMA (EFSA, 2017).
  • Pese a que a nivel de instituciones públicas el control de Salmonella se ha enfriado, la presencia en carne de cerdo sigue siendo uno de los factores limitantes para las exportaciones y ocasiona pérdidas a la industria.

El control de Salmonella a nivel mundial

Pocos cambios han surgido en los últimos años respecto al control de Salmonella. Posiblemente, lo más llamativo ha sido el acercamiento de posturas entre el abordaje europeo, basado inicialmente en el control de la infección en granja y las estrategias de Estados Unidos, centradas en evitar la contaminación de la carne en las plantas de procesado (Alban y colaboradores 2012). El limitado éxito de algunos programas de control en granja (Walia y col. 2016) y la evidencia de que parte de la contaminación se produce en las fases posteriores (véanse otros artículos de la sección de Salmonella de 3tres3), son los dos principales motivos por los que muchos expertos sobre Salmonella se inclinen por el control en las fases post-granja o una combinación de medidas en granja combinadas con mejoras en la higiene en el transporte, la espera y el sacrificio.

A finales del año 2015 la FAO publicó un informe con la opinión de expertos en el control de Salmonella en el ganado porcino sobre las medidas de control disponibles para reducir el riesgo de contaminación de la carne de porcino (FAO, 2015). Dicho informe está siendo empleado para la elaboración del nuevo Codex Alimentarius sobre “Prevención y control de Salmonella en cerdos”. En él se revisan las medidas de control potenciales en granja, transporte, matadero y procesado de la carne de cerdo. Respecto a la información sobre el control en granja y línea de sacrificio, los conceptos, recomendaciones y las conclusiones coinciden con lo expuesto en el párrafo anterior; la tendencia en el control debe virar hacia la combinación de medidas de control en granja, estrategias de bioseguridad y medidas adicionales como la incorporación de ácidos orgánicos en la dieta, vacunas o alimentos en harina, con mejoras en el control post-granja, básicamente medidas que eviten la contaminación de las canales al final de la línea de faenado, oreo, duchas de agua caliente, tratamientos con químicos y/o ácidos orgánicos, mejoras en la higiene, chamuscado, escaldado etc.

Tabla 2. Resumen de las principales conclusiones sobre el control de Salmonella en la cadena de producción porcina (FAO, 2015).

Etapa producción Medida Control Eficacia Recomendación
Granja Bioseguridad externa Limita la entrada de Salmonella en la granja Controlar la reposición, animales salvajes, pienso, vehículos etc.
Bioseguridad interna Limita la dispersión de Salmonella en la granja Mezclas de animales, flujo de trabajo, pediluvios, higiene en equipamiento etc.
Vacunación Útil frente a mismo serotipo. Interfiere en programas de control serológico Puede incluirse como medida de control, aunque compromete la serología de los programas de control.
Ácidos orgánicos Dependiente de dosis, duración y ácido Pueden ser útiles para reducir prevalencia
Pienso en harina Mejora salud intestinal Puede ser útiles para reducir prevalencia
Transporte y espera en corrales Mejoras en protocolos de higiene Limitan la presencia de Salmonella Se requieren más estudios
Matadero Escaldado Reduce concentración Salmonella en canal Punto de APPCC
Chamuscado Reduce concentración Salmonella en canal Punto de APPCC
Higiene en la línea Puede evitar contaminación cruzada
Duchas de ácido láctico, Cl-, peróxido etc. Eficacia variable Se necesita más investigación
Oreo Limita crecimiento de Salmonella Recomendable su uso

Comentarios del artículo

Este espacio no está orientado a ser una zona de consultas a los autores de los artículos sino que pretende ser un lugar de discusión abierto a todos los usuarios de 3tres3
Publica un nuevo comentario

Para comentar debes registrarte en 3tres3 y acceder como usuario.

No estás suscrito a la lista Termómetro económico porcino Colombia

Un mailing semanal con la cotización del precio de Colombia y los principales países productores de porcino junto con un comentario de la situación del mercado colombiano. Se añaden gráficos con la evolución del precio en Colombia.

Accede y apúntate a la lista

Artículos relacionados

No estás suscrito a la lista Noticias del sector porcino

Boletín de noticias sobre el mundo del porcino

Accede y apúntate a la lista