X
XLinkedinWhatsAppTelegramTelegram
0
Leia este artigo em:

Controlo de Salmonella nos suínos na actualidade

Os planos de controlo, que deviam ter começado em 2012, continuam sem estar implementados na maioria dos países europeus na actualidade.

O contexto do controlo de Salmonella: o impulso na primeira década do século XXI

Durante a primeira década do século XXI, a Salmonella tornou-se num dos principais agentes patogénicos a controlar no gado suíno. O elevado número de casos de salmonelose que, naquela época, superavam os 200.000 por ano na União Europeia (UE) e o êxito, pelo menos parcial, dos programas de controlo em países nórdicos, impulsionou a realização de uma série de estudos de prevalência em avicultura e suíno na UE cujos resultados serviríam para estabelecer os objectivos de futuros programas de controlo e redução da prevalência em cada um dos Estados Membros. Os estudos transversais em porcos reprodutores e porcos de engorda revelaram prevalências mais ou menos importantes em países com elevada produção e exportação (EFSA, 2008; 2009) (figura 1 e 2). No entanto, os planos de controlo, que deviam ter começado em 2012, continuam a não estar implementados na maioria dos países europeus no momento presente.

Figura 1. Prevalência de Salmonella em porcos de engorda nos países da UE (EFSA, 2008)
Figura 1. Prevalência de Salmonella em porcos de engorda nos países da UE (EFSA, 2008)
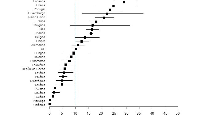
Figura 2. Prevalência de Salmonella em porcas nos países da UE (EFSA, 2010). Os dados mostram a percentagem de explorações positivas.
Figura 2. Prevalência de Salmonella em porcas nos países da UE (EFSA, 2010). Os dados mostram a percentagem de explorações positivas.

Tabela 1. Situação dos programas de controlo de Salmonella em suínos por países.

País Referência Data de início Tipo de programa Características Estratégias
Suécia Noruega Finlândia Bengtsson e col., 2009
Hofshagen e col., 2007
Huttunen e col. 2006
Desde a década de 1960 Erradicação Análise por bacteriologia de amostras em fábricas de ração, explorações e carne. Abate de grupos de animais e implementação de medidas de higiene controladas por amostragens sucessivas.
Dinamarca Baggesen e col. 1996
Alban e col., 2012
1995 Controlo Obrigatório
Revisto e actualizado 2010-2012.
Primeiro programa de controlo implementado na UE.
Baseado na categorização serológica das explorações.
Objectivos de redução baseados na prevalência nas carcaças no matadouro.
Medidas de controlo na exploração com ênfase em biossegurança e higiene no matadouro.
Irlanda Quirke e col. 2001 1997 Controlo Obrigatório
Revisto e actualizado em 2010.
Baseado na classificação serológica das explorações.
Após a revisão de 2010 em 2 categorias (<50% e >50%).
Aguarda nova actualização
Recomendação de implementar estratégias de controlo em explorações positivas.
Alemanha Osterkon e col. 2001 2002 Controlo Voluntário. Serologia. Baseado em classificação serológica de explorações (semelhante ao sistema dinamarquês na origem) Recomendação de implementar estratégias de controlo em explorações positivas.
Inglaterra Snary et al. 2010 2002

Controlo

Obrigatório

Na origem serologia com três níveis <50%; >50%; >75%
Em 2008 todas as explorações com seroprevalência >10% eram consideradas positivas.
Actualmente já não é realizado o controlo serológico.
Todas as explorações têm que ter um plano de controlo de Salmonella.
Holanda Hanssen e col. 2007 2005 Controlo Obrigatório Serologia de exploração (semelhante ao sistema dinamarquês na origem).
Amostragem aleatória de carcaças em todos os matadouros do país.
Recomendação de implementar estratégias de controlo em explorações positivas e higiene em matadouros com prevalência nas carcaças superior a 0.8%.

Motivos pelos que não prosperou a obrigatoriedade dos programas de controlo na UE

As análises de risco microbiológico realizadas a partir dos dados obtidos nos estudos de prevalência em reprodutores e porcos de engorda da UE revelaram que os programas de controlo não iriam ser viáveis do ponto de vista custo-benefício, sendo o benefício a redução do número de casos em pessoas (EFSA, 2010).

A juntar ao anterior, a crise económica na qual se viram envolvidos os países europeus e que significou uma diminuição de recursos destinados a novos planos de controlo de doenças.

Além disso, há que adicionar o êxito dos programas de controlo em avicultura que significaram uma redução de mais de metade do número de casos em pessoas (actualmente cerca de 80.000 casos/ano).

Por último, a complexidade da produção suína e da epidemiologia da infecção por Salmonella tornam difícil estabelecer medidas concretas e extrapoláveis para o seu controlo, o que contrasta com o controlo em avicultura.

Porquê a Salmonella continua a ser importante?

Ainda que se possa pensar que a Salmonella é um agente patogénico “cuja moda já passou”, continua a ter grande relevância para o sector da indústria suína:

  • A Salmonella é a principal zoonose no gado suíno.
  • A percentagem relativa de casos atribuídos ao consumo de carne de porco contaminada por Salmonella aumentou como consequência do êxito dos programas de controlo desta infecção em avicultura. Nos países onde a carne de ave está livre de Salmonella, a carne de porco e os ovos são as principais fontes de salmonelose humana (figura 3)
Figura 3. Estimtivas da origem de salmoneloses em pessoas (EFSA,2011). As flechas vermelhas indicam que aqueles países (Bélgica, Dinamarca, França e Itália) onde a carne de porco é a principal origem de toxi-infecções por Salmonella consequência do êxito dos programas de controlo em frangos.
Figura 3. Estimtivas da origem de salmoneloses em pessoas (EFSA,2011). As flechas vermelhas indicam que aqueles países (Bélgica, Dinamarca, França e Itália) onde a carne de porco é a principal origem de toxi-infecções por Salmonella consequência do êxito dos programas de controlo em frangos.
  • A Salmonella é um dos agentes patogénicos que mais resistências a antibióticos desenvolveu e aparece como um dos microorganismos a monitorizar na recente opinião sobre a redução do uso de antibióticos em produção animal publicada pela EFSA-EMA (EFSA, 2017).
  • Pese a que, a nível de instituições públicas, o controlo de Salmonella tem arrefecido, a presença, na carne de porco, continua a ser dos factores limitantes para as exportações e ocasiona perdas a nível de indústria.

O controlo de Salmonella a nível mundial

Poucas mudanças surgiram nos últimos anos relativamente ao controlo de Salmonella. A aproximação de posturas entre a abordagem europeia, baseada inicialmente no controlo da infecção em explorações, com as estratégias dos Estados Unidos, centradas em evitar a contaminação da carne nas unidades de processamento (Alban e colaboradores 2012), tem sido o que de mais chamativo tem acontecido. O êxito limitado de alguns programas de controlo na exploração (Walia e col. 2016) e a evidência de que parte da contaminação é produzida nas fases posteriores (ver outros artigos da secção de Salmonella de 3tres3), são os dois principais motivos pelos quais muitos peritos em Salmonella se inclinam pelo controlo nas fases pós-exploração ou uma combinação de medidas na exploração com melhorias da higiene no transporte, espera e abate.

No final do ano de 2015 a FAO publicou um relatório com a opinião de peritos no controlo de Salmonella no gado suíno sobre as medidas de controlo disponíveis para reduzir o risco de contaminação da carne de porco (FAO, 2015). Este relatório está a ser utilizado na elaboração do novo Codex Alimentarius sobre “Prevenção e controlo de Salmonella em porcos”. No documento são revistas as medidas de controlo potenciais na exploração, transporte, matadouro e processamento da carne de porco. Relativamente à informação sobre o controlo na exploração e linha de abate, os conceitos, recomendações e as conclusões coincidem com o exposto no parágrafo anterior, a tendência no controlo deve virar para uma combinação de medidas de controlo na exploração, estratégias de biossegurança e medidas adicionais, como a adição de ácidos orgânicos na dieta, vacinas ou alimentos em farinha, com melhorias no controlo pós-exploração, basicamente medidas que evitem a contaminação das carcaças no final da linha de abate e tratamentos com químicos e/ou ácidos orgânicos, melhorias na higiene, chamuscado, escaldão etc.

Tabela 2. Resumo das principais conclusões sobre o controlo de Salmonella na cadeia de produção suína (FAO, 2015).

Etapa produção Medida Controlo Eficácia Recomendação
Exploração Biossegurança externa Limita a entrada de Salmonella na exploração Controlar la reposición, animales salvajes, pienso, vehículos etc.
Biossegurança interna Limita a dispersão da Salmonella na exploração Mezclas de animales, flujo de trabajo, pediluvios, higiene en equipamiento etc.
Vacinação Útil contra o mesmo serótipo. Interfere num programa de controlo serológico Pode ser incluído como medida de controlo, ainda que compromete a serologia dos programas de controlo.
Ácidos orgânicos Dependente de dosis, duração e ácido Podem ser úteis para reduzir prevalência
Ração em farinha Melhora a saúde intestinal Podem ser úteis para reduzir prevalência
Transporte e espera em parques Melhorias em protocolos de higiene Limitam a presença de Salmonella São necessários mais estudos
Matadouro Escaldão Reduz concentração de Salmonella na carcaça Ponto de HACCP
Chamuscado Reduz concentração de Salmonella na carcaça Ponto de HACCP
Higiene na linha Pode evitar contaminação cruzada
Duches de ácido láctico, Cl-, peróxido etc. Eficácia variável São necessários mais estudos
Arrefecimento Limita crescimento de Salmonella Recomendável o seu uso

Comentários ao artigo

Este espaço não é uma zona de consultas aos autores dos artigos mas sim um local de discussão aberto a todos os utilizadores de 3tres3
Insere um novo comentário

Para fazeres comentários tens que ser utilizador registado da 3tres3 e fazer login

Não estás inscrito na lista Última hora

Um boletim periódico de notícias sobre o mundo suinícola

faz login e inscreve-te na lista

Artigos relacionados

Não estás inscrito na lista A web em 3 minutos

Um resumo semanal das novidades da 3tres3.com.pt

faz login e inscreve-te na lista