Le xilanasi sono un gruppo di enzimi con attività di carboidrasi, specificamente classificati come glicosidasi, che idrolizzano il polisaccaride xilano a xilosio.
La xilanasi è comune nei batteri e nei funghi che degradano la materia vegetale. Questi organismi saranno utilizzati per la produzione dell'enzima che verrà utilizzato nella produzione dei mangimi.

Il substrato delle xilanasi
Lo xilosio si trova negli arabinoxilani, un polimero presente nell'emicellulosa che integra il gruppo dei polisaccaridi non amilacei (NSP) con un rapporto arabinosio : xilosio variabile. La figura 1 illustra la determinazione dei NSPs.

La parete cellulare che ricopre l'endosperma dei cereali comunemente usati nella produzione di mangimi per suini è composta da NSPs (Figura 2).

Gli arabinoxilani sono i principali polisaccaridi non cellulosici presenti nei cereali come il frumento, l'orzo o la segale, quest'ultimo meno utilizzato nei suini.
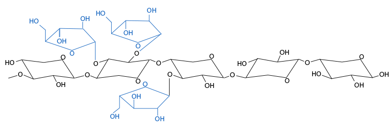
Struttura chimica e proprietà fisiche dei arabinoxilani
Gli arabinoxilani sono formati da catene lineari di unità di xilosio collegate da legami β- (1-4), con varie ramificazioni di unità di β-L-arabinofuranosi (figura 3).

Gli arabinoxilani possono essere classificati come solubili o insolubili ed il grado di solubilità varia in base alla presenza di arabinosio nella catena dei carboidrati. L'arabinosio conferisce maggiore complessità alla struttura, condizionando la capacità di interagire con altre molecole, la solubilità e la sensibilità all'idrolisi enzimatica. L'idrolisi dipenderà dal modello di distribuzione dell'arabinosio, che è molto variabile. Questi modelli differiscono tra i cereali, ma anche tra le varietà dello stesso cereale.
Nelle materie prime come il frumento e la segale, l'arabinoxilano solubile (circa il 30% del totale) è ciò che promuove una natura "viscosa" del contenuto digestivo. Questo effetto della viscosità può influenzare negativamente il microbiota intestinale.
Confrontando i diversi ingredienti comunemente usati nelle diete suine, abbiamo osservato che il mais e la farina di soia promuovono un contenuto digestivo meno viscoso rispetto alla segale, all'orzo, all'avena o al frumento.

L'arabinoxilano del mais è caratterizzato dalla ramificazione con L-arabinosio, acido glucuronico e acido ferulico. Nello stomaco, in condizioni di pH acido, l'L-arabinosio consente il rilascio parziale dei arabinoxilani. Dall'altra parte, la farina di soia contiene xilosio come xiloglucani ed i semi di soia contengono xilosio fondamentalmente associato al contenuto in xilani della buccetta.
Gli arabinoxilani nelle materie prime
Il contenuto in polisaccaridi non amilacei totali, gli arabinoxilani totali e le loro rispettive frazioni solubili, può essere visto nella tabella 1 per i diversi ingredienti.
Tab1. Contenuto in NSP totali, arabinoxilani totali (% di SS) e loro rispettive frazioni solubili (% del totale).
| Ingrediente | NSP totali | NSP solubile |
Arabinoxilani |
Arabinoxilani solubili |
|---|---|---|---|---|
| Frumento | 11,4 | 21,7 | 7,1 | 23,6 |
| Orzo | 17,4 | 26,1 | 7,9 | 11,1 |
| Segale | 14,0 | 25,6 | 8,9 | 34,9 |
| Triticale | 14,7 | 22,7 | 9,7 | 12,0 |
| Sorgo | 5,1 | 11,4 | 2,3 | 4,8 |
| Mais | 8,8 | 11,8 | 4,6 | 5,0 |
| Crusca di frumento | 35,3 | 1,3 | 19,8 | 6,3 |
| DDGS di mais | 20,6 | 1,3 | 12,7 | 9,3 |
| Farina di colza | 22 | 15,5 | 6,3 | 25,4 |
| Farina di girasole | 31,2 | 11,3 | 8,5 | 13,0 |
| Farina di soia | 21 | 27,6 | 4,1 | 24,1 |
| Piselli | 17,4 | 28,9 | 4,9 | 44,9 |
| Lupini | 46,1 | 44,3 | 4,3 | 65,1 |
Valori medi ottenuti da Englyst (1989), Choct, M (1997), Bach Knudsen, KE (2010 e 2014) e propri dati.
Tipi e caratteristiche delle xilanasi
Esistono molti tipi di xilanasi e la struttura, il funzionamento e le caratteristiche ottimali per presentare la massima attività enzimatica sono piuttosto diverse tra di loro.
Le endo-β- (1,4) -D-xilanasi, note come xilanasi, sono i principali enzimi coinvolti nella degradazione dell'arabinoxilano. Essi dividono gli arabinoxilani idrolizzando internamente il legame 1,4-β-D-xilosidico tra i residui di xilosio nello scheletro dello xilano, in modo casuale. Nel 2007, oltre 290 xilanasi sono state identificate e raggruppate in sei diverse famiglie di glucosidi idrolasi (GH) (5, 7, 8, 10, 11 e 43) (Collins et al., 2005, Dornez et al., 2009) . Il modello di degradazione di ciascuno di questi enzimi può essere diverso, dando luogo a diversi prodotti enzimatici. Ad esempio, la maggior parte delle idrolasi dei glucosidi che sono classificate nella famiglia GH 10 sono le endo-β-1,4-xilanasi che degradano l'arabinoxilano con un alto grado di sostituzione di arabinosio in frammenti più piccoli. Queste frazioni residuali di oligosaccaridi possono essere di grande interesse come substrato facilmente disponibile per essere fermentato, agendo come donatore di energia o funzionalità prebiotica. Le xilanasi GH 11 agiscono preferibilmente nelle regioni non sostituite dello scheletro e per una corretta idrolisi richiedono tre xilosi consecutive senza radicali di arabinosio in mezzo. Pertanto, le xilanasi GH 11 hanno una bassa attività sui eteroxilani con un alto grado di sostituzione.
Pertanto, le xilanasi, come qualsiasi altro enzima, sono specifici del substrato su cui devono agire. Ciò significa che, affinché l'enzima fornisca un beneficio nella formulazione di diete per suini, la dieta deve contenere il substrato specifico rilevante per il funzionamento dell'enzima, ovvero gli arabinoxilani. E che l'enzima utilizzato contenga i diversi tipi di xilanasi stabiliti secondo la classificazione precedente in base al tipo di substrato contenuto nella dieta.
Le caratteristiche delle xilanasi sono determinate dal tipo di organismo che le produce (fungine o microbiche). Le xilanasi comunemente utilizzate nell'industria di produzione di mangimi per l'alimentazione animale sono prodotte da Aspergillus niger, che è un fungo, Trichoderma reesei o Bacillus subtilis, che sono batteri. Tra i diversi ceppi di produzione, sono state apportate modifiche specifiche (selezione e miglioramento dei ceppi produttori e ceppi geneticamente modificati) per migliorare l'efficienza di produzione, rendimento e attività nel momento in cui i ceppi ancestrali sono stati utilizzati dall'industria di fabbricazione della xilanasi (nei suoi diversi campi di applicazione).
Il pH ottimale delle xilanasi di origine batterica è, in generale, leggermente superiore al pH ottimale delle xilanasi di origine fungina.
Gli enzimi possono anche differire nella stabilità termica. Tuttavia, la maggior parte degli enzimi ora commercializzati tendono ad essere termostabili, preservando la loro attività anche a basse temperature di condizionamento per valore. La presentazione liquida e l'applicazione post-pellettatura spruzzando il pellet, possono essere uno dei modi migliori per preservare la massima attività, evitando l'inattivazione da calore durante l'elaborazione del mangime.
Uso delle xilanasi nel mangime
L'idratazione degli arabinoxilani durante il processo di digestione porta ad un aumento della viscosità del lume della fase liquida o solubile che influenza direttamente la digeribilità dell'amido e impedisce il processo di emulsione lipidica, così come il riassorbimento degli acidi biliari prima della valvola ileo-cecale. In questo senso, l'attività della xilanasi può rappresentare un'opportunità per un significativo miglioramento della digeribilità dell'amido e del grasso, migliorando l'uso dell'energia, promuovendo indirettamente una riduzione dell'indice di conversione e dei costi di alimentazione.
Dall'altra parte, dopo l'azione della xilanasi si genera un nuovo substrato residuale, catene o strutture di oligosaccaridi, potenzialmente fermentabili dalla popolazione microbica che risiede dall'ileo terminale e che possono portare alla produzione di acidi grassi a catena corta ( acetico, butirrico e propionico). L'acetato è fondamentalmente usato come substrato per la produzione di butirrato. Il butirrato prodotto è noto per la sua funzionalità sulla salute intestinale (fonte di energia per i colonociti) e sull'equilibrio del microbiota dell'intestino crasso. Il propionato è metabolizzato nel fegato, è gluconeogenico ed inibisce la lipogenesi.
Attualmente, sul mercato sono presenti più di 20 prodotti contenenti attività xilanasica, da sole o in combinazione con altri enzimi, che sono stati approvati dall'Unione europea (UE) per l'uso nelle diete suine. Poiché l'UE richiede che i fornitori di enzimi dimostrino l'efficacia dei loro prodotti in almeno tre test sugli animali per specie e stadio di produzione, esiste una quantità significativa di dati su questo tipo di enzima nella dieta dei suini.
Risultati recenti
1. Ricerche sulla xilanasi, il metodo di formulazione della dieta per l'energia e la scelta del marcatore dell'indice di digeribilità sull'utilizzo dei nutrienti e sull'energia nei polli e nei suini all'ingrasso.
Sono state osservate interazioni tra l'integrazione con xilanasi e il metodo di formulazione dell'energia per la digeribilità ileale apparente della sostanza secca, energia, Arg e Lys. L'inclusione di xilanasi diminuiva la digeribilità apparente ileale della Lys in diete contenenti "terre di diatomee" o crusca di frumento, ma aumentava la digeribilità ileale apparente di Arg nella dieta con "sabbia" e la digeribilità ileale apparente dell'energia nella dieta con crusca di grano. Il tipo di indicatore dell'indice di digeribilità non ha avuto alcun effetto sulle risposte nei suini.
2. Degradazione della fibra dietetica nello stomaco, intestino tenue e intestino crasso di suini in accrescimento alimentati con diete a base di mais o frumento senza o con xilanasi di origine microbica.
Gli ingredienti utilizzati nella formulazione del mangime e la concentrazione delle fibre alimentari possono influenzare il grado di fermentazione della fibra. L'inclusione di xilanasi A o B hanno migliorato la digeribilità ileale apparente e la digeribilità totale apparente della fibra alimentare nelle diete a base di frumento, il che indica l'attività della xilanasi nel tratto gastrointestinale dei suini. L'inclusione di xilanasi A ha migliorato la concentrazione dell'energia digeribile e di energia metabolizzabile nelle diete con frumento-soia-cruschello di frumento e la xilanasi B ha migliorato la concentrazione dell'energia digeribile in diete a base di frumento ed ha migliorato la concentrazione dell'energia metabolizzabile nelle diete frumento-soia. In conclusione, le xilanasi utilizzate in questo esperimento hanno migliorato la digeribilità della fibra alimentare nello stomaco e nell'intestino posteriore ed hanno miglioratolo lo stato energetico dei suini alimentati con diete basate sul frumento, ma non nei suini alimentati con diete basate sul mais.
3. Impatto delle xilanasi sul microbiota intestinale dei suini in accrescimento alimentati con diete a base di mais o frumento.
Per ogni dieta a base di cereali, i trattamenti con xilanasi hanno influenzato le proporzioni di 5 taxa batterici nell'ileo e 8 nel cieco. Il trattamento con xilanasi ha ridotto l'influenza dei Bacteroidetes e promosso un gran numero di taxa centrali, la maggior parte dei quali apparteneva al phylum di Firmicutes. Per massimizzare l'efficienza della supplementazione con xilanasi, i nostri dati suggeriscono che la xilanasi C originata dal Bacillus subtilis era più efficace quando era applicata a diete a base di frumento, mentre la xilanasi A da Fusarium verticillioides era più vantaggiosa quando era applicata a diete a base di mais.
4. Energia digeribile di una dieta basata su mais e farina di soia supplementata con xilanasi nei suini di svezzamento in gabbie metaboliche o box.
Nessuna interazione è stata osservata tra le condizioni di alloggio e la supplementazione con xilanasi. I suini nei box avevano una maggior ingestione di mangimi giornaliera ed un peso corporeo finale medio superiore, ma tendevano a mostrare una minore digeribilità della sostanza secca. La supplementazione con xilanasi tendeva a migliorare l'ingestione giornaliera, indipendentemente dalle condizioni di alloggiamento. In conclusione, la supplementazione con xilanasi ha rilasciato 27-29 kcal di energia digeribile da una dieta basata su farina di mais e soia in suini alloggiati in gabbie metaboliche o box. L'integrazione con la xilanasi potrebbe migliorare la digeribilità fecale della sostanza secca e aumentare l'assunzione di mangime per i suini se viene loro consentito il libero accesso al cibo.
5. Effetti della xilanasi sulle performance dei suini in accrescimento: concentrazione degli acidi grassi volatili e del peptide YY nel sangue portale ed in quello periferico.
I polisaccaridi non amilacei (NSP) presenti nel frumento e nell'orzo possono agire da "anti-nutrienti", determinando un aumento della viscosità del contenuto del digesta (contenuto gastrointestinale) ed una riduzione della digeribilità dei nutrienti. È stato dimostrato che la xilanasi, un enzima che degrada gli NSP, aumenta la digeribilità dei nutrienti nei suini. Tuttavia, nelle diete a base di cereali, con una miscela di frumento e orzo, fornita tra 14 e 41 kg di peso, l'aggiunta di xilanasi non ha avuto alcun effetto sulla crescita e sulla digeribilità in tutto il tratto, sulla MS , MO o FB, la concentrazione di AGV o la concentrazione del peptide YY quando si aggiungevano fino a 32.000 BXU / kg per un periodo di 35 giorni. Le prestazioni dei suini sono state buone per tutti i trattamenti durante la prova, il che suggerisce che la qualità della dieta era sufficiente, quindi non ci sono stati effetti benefici quando si aggiunge la xilanasi.














