As xilanases são um grupo de enzimas com actividade em hidratos de carbono, especificamente classificadas como glicosidase, que hidrolisam o polissacárido xilano a xilose.
A xilanase é comum em bactérias e fungos que degradam a matéria vegetal. Estes organismos são utilizados para a produção da enzima que é utilizada na fabricação de alimentos.

O substrato das xilanases
A xilose é encontrada nos arabinoxilanos, um polímero presente na hemicelulose que integra o grupo de polissacáridos não amiláceos (PNA) com uma relação de arabinose: xilose variável. A Figura 1 descreve a determinação de PNAs.

A parede celular que cobre o endosperma dos cereais frequentemente usados na fabricação de ração para suínos é composta por PNAs (Figura 2).

Os arabinoxilanos são os principais polissacáridos não celulósicos presentes em cereais tais como trigo, cevada ou centeio, este último menos usado em porcos.
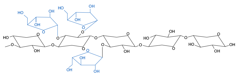
Estrutura química e propriedades físicas dos arabinoxilanos
Os arabinoxilanos são formados por cadeias lineares de unidades de xilose ligadas por ligações β- (1-4), com várias ramificações de unidades de β-L-arabinofuranose (figura 3).

Os arabinoxilanos podem ser classificados como solúveis ou insolúveis e o grau de solubilidade irá variar dependendo da presença de arabinose na cadeia de hidratos de carbono. A arabinose confere maior complexidade à estrutura, condicionando a capacidade de interacção com outras moléculas, solubilidade e sensibilidade à hidrólise enzimática. A hidrólise dependerá do padrão de distribuição da arabinose, que é muito variável. Estes padrões diferem entre cereais mas também entre variedades do mesmo cereal.
Em matérias-primas como trigo e o centeio, o arabinoxilano solúvel (aproximadamente 30% do total) é o que promove uma natureza "viscosa" do conteúdo digestivo. Este efeito da viscosidade pode influenciar negativamente a microbiota intestinal.
Ao comparar os diferentes ingredientes frequentemente utilizados na dieta de suínos, observamos que o milho e o bagaço de soja promovem um conteúdo digestivo menos viscoso do que o centeio, a cevada, a aveia ou o trigo.

O arabinoxilano de milho é caracterizado por ser ramificado com L-arabinose, ácido glucurónico e ácido ferúlico. No estômago, sob condições de pH ácido, a L-arabinose permite a libertação parcial de arabinoxilanos. Por outro lado, o bagaço de soja contém xilose como xiloglucanos e o grão de soja contém xilose, basicamente associado ao teor de xilana da casca.
Os arabinoxilanos nas matérias-primas
O conteúdo em polissacáridos não amiláceos totais, arabinoxilanos totais e as suas respectivas frações solúveis podem ser vistas na tabela 1 para diferentes ingredientes.
Tabela1. Teor em PNA totais, arabinoxilanos totais (% da MS) e suas respectivas fracções solúveis (% do total).
| Ingrediente | PNA total | PNA solúvel |
Arabinoxilanos |
Arabinoxilanos solúveis |
|---|---|---|---|---|
| Trigo | 11,4 | 21,7 | 7,1 | 23,6 |
| Cevada | 17,4 | 26,1 | 7,9 | 11,1 |
| Centeio | 14,0 | 25,6 | 8,9 | 34,9 |
| Triticale | 14,7 | 22,7 | 9,7 | 12,0 |
| Sorgo | 5,1 | 11,4 | 2,3 | 4,8 |
| Milho | 8,8 | 11,8 | 4,6 | 5,0 |
| Sêmea de trigo | 35,3 | 1,3 | 19,8 | 6,3 |
| DDGS de milho | 20,6 | 1,3 | 12,7 | 9,3 |
| Bagaço de colza | 22 | 15,5 | 6,3 | 25,4 |
| Bagaço de girassol | 31,2 | 11,3 | 8,5 | 13,0 |
| Bagaço de soja | 21 | 27,6 | 4,1 | 24,1 |
| Ervilhas | 17,4 | 28,9 | 4,9 | 44,9 |
| Tremoços | 46,1 | 44,3 | 4,3 | 65,1 |
Valores médios obtidos com base a Englyst (1989), Choct, M (1997), Bach Knudsen, KE (2010 y 2014) e dados próprios.
Tipos e características das xilanases
Existem muitos tipos de xilanases e a estrutura, funcionamento e características óptimas para apresentar a maior actividade enzimática é bastante diferente entre elas.
As endo-β- (1,4) -D-xilanases, conhecidas como xilanases, são as principais enzimas envolvidas na degradação do arabinoxilano. Divide os arabinoxilanos por hidrólise interna da ligação 1,4-β-D-xilosídica entre resíduos de xilose no esqueleto de xilano de maneira aleatória. Em 2007, mais de 290 xilanases foram identificadas e agrupadas em seis diferentes famílias de hidrolase glucosídica (GH) (5, 7, 8, 10, 11 e 43) (Collins et al., 2005; Dornez et al., 2009). O padrão de degradação de cada uma destas enzimas pode ser diferente, dando origem a diferentes produtos enzimáticos. Por exemplo, a maioria das glicosil-hidrolases que são classificadas na família GH 10 são endo-β-1,4-xilanases que degradam arabinoxilano com alto grau de substituição de arabinose em fragmentos menores. Estas fracções residuais de oligossacáridos podem ser de grande interesse como um substrato facilmente disponível para ser fermentado, actuando como uma doador de energia ou funcionalidade pré-biótica. As xilanases de GH 11 actuam preferencialmente nas regiões não substituídas do esqueleto e para a hidrólise correcta requerem três xiloses consecutivas sem radicais de arabinose no meio. Portanto, as xilanases de GH 11 possuem uma baixa actividade nos heteroxilanos com alto grau de substituição.
Portanto, as xilanases, como qualquer outra enzima, são específicas do substrato que necessitam para actuar. Isto significa que para a enzima proporcionar um benefício na formulação de dietas para porcos, a dieta deve conter o substrato específico relevante para que a enzima funcione, ou seja, arabinoxilanos. E que a enzima utilizada contenha os diferentes tipos de xilanases estabelecidas de acordo com a classificação anterior de acordo com o tipo de substrato que a dieta contém.
As características das xilanases são determinadas pelo tipo de organismo que as produz (fúngicas ou microbianas). As xilanases usadas com frequência na indústria de fabricação de alimentos para ração animal são produzidas por Aspergillus niger, que é um fungo, Trichoderma reesei ou Bacillus subtilis, que são bactérias. Entre as diferentes estirpes de produção, foram feitas modificações específicas (selecção e melhoramento de estirpes produtoras e estirpes geneticamente modificadas) para melhorar a eficiência de produção, rendimento e actividade no momento em que as estirpes ancestrais foram utilizadas pela indústria de produção de xilanase (em seus diferentes campos de aplicação).
O pH óptimo das xilanases de origem bacteriana é, em geral, ligeiramente superior ao pH óptimo das xilanases de origem fúngica.
As enzimas também podem diferir na estabilidade térmica. No entanto, a maioria das enzimas comercializadas actualmente tendem a ser termoestáveis, preservando a sua actividade mesmo sob condições condições de temperatura de acondionamento por vapor. A apresentação líquida e a aplicação pós-granulada por pulverização do grânulo podem ser uma das melhores maneiras de preservar a actividade máxima, evitando a inativação pelo calor durante a fabricação da ração.
Uso das xilanases na ração
A hidratação dos arabinoxilanos durante o processo de digestão leva a um aumento na viscosidade luminal da fase líquida ou solúvel que afecta directamente a digestibilidade do amido e previne o processo de emulsificação lipídica, bem como a reabsorção de ácidos biliares antes a válvula ileo-cecal. Nesse sentido, a actividade da xilanase pode representar uma oportunidade para melhoria significativa da digestibilidade do amido e da gordura, melhorando o aproveitamento de energia, promovendo indirectamente uma redução na taxa de conversão e nos custos da alimentação.
Por outro lado, após a acção da xilanase gera-se um novo substrato residual, cadeias ou estruturas oligossacarídicas, potencialmente fermentáveis pela população microbiana que reside no íleo terminal e que pode levar à produção de ácidos gordos de cadeia curta ( acético, butírico e propiónico). O acetato é usado basicamente como substrato para a produção de butirato. O butirato produzido é conhecido pela sua funcionalidade na saúde intestinal (fonte de energia para os colonócitos) e pelo equilíbrio da microbiota do intestino grosso. O propionato é metabolizado no fígado, é gluconeogénico e inibe a lipogénese.
Actualmente, mais de 20 produtos contendo actividade xilanásica são encontrados no mercado, isoladamente ou em combinação com outras enzimas, que foram aprovados pela União Europeia (UE) para uso em dietas para suínos. Dado que a UE exige que os fornecedores de enzimas demonstrem a eficácia dos seus produtos em, pelo menos, três ensaios científicos em animais por espécie e fase de produção, existe uma quantidade significativa de dados sobre este tipo de enzimas em dietas para suínos.
Descobertas recentes
1. Investigação sobre a xilanase, o método de formulação da dieta para a energia e a eleição do marcador do índice de digestibilidade sobre a utilização de nutrientes e energia em frangos e porcos de engorda.
Foram observadas interacções entre a suplementação de xilanase e o método de formulação de energia para digestibilidade ileal aparente de matéria seca, energia, Arg e Lys . A inclusão de xilanase diminuiu a digestibilidade ileal aparente de Lys em dietas contendo terra de diatomáceas ou farelo de trigo, mas aumentou a digestibilidade ileal aparente de Arg na dieta com areia e a digestibilidade ileal aparente da energia da dieta em farelo de trigo O tipo de marcador do índice de digestibilidade não teve efeito sobre as respostas em suínos.
2. Degradação da fibra dietética no estômago, intestino delgado e intestino grosso de porcos em crescimento alimentados com dietas à base de milho ou trigo sem ou com xilanase microbiana.
Os ingredientes utilizados na formulação da ração e a concentração de fibra alimentar podem influenciar o grau de fermentação da fibra. A inclusão de xilanase A ou B melhorou a digestibilidade ileal aparente e a digestibilidade total aparente da fibra alimentar em dietas à base de trigo, indicando a actividade da xilanase no tracto gastrintestinal de suínos. A inclusão de xilanase A melhorou a concentração de energia digestível e energia metabolizável nas dietas de farinha de trigo e trigo e a xilanase B melhorou a concentração de energia digestível em dietas à base de trigo e melhorou a concentração de energia metabolizável na dieta dieta trigo-soja. Em conclusão, as xilanases utilizadas nesta experiência melhoraram a digestibilidade da fibra alimentar no estômago e no intestino grosso e melhoraram o status energético de suínos alimentados com dietas à base de trigo, mas não em suínos alimentados com dietas à base de milho.
3. Impacto das xilanases na microbiota intestinal de porcos em crescimento alimentados com dietas à base de milho ou trigo.
Para cada dieta à base de cereais, os tratamentos com xilanase afectaram as proporções de 5 taxões bacterianos no íleo e 8 no ceco. O tratamento com xilanase reduziu a influência de Bacteroidetes e promoveu um grande número de taxões centrais, a maioria dos quais pertencia ao filo Firmicutes. Para maximizar a eficiência da suplementação de xilanase, os nossos dados sugerem que a xilanase C-originada de Bacillus subtilis foi mais eficaz quando aplicada a dietas à base de trigo, enquanto a xilanase A de Fusarium verticillioides foi mais benéfica quando aplicado a dietas à base de milho.
4. Energia digestível de uma dieta baseada em milho e bagaço de soja suplementada com xilanase em porcos de transição em jaulas metabólicas ou parque.
Não foi observada nenhuma interacção entre as condições de alojamento e a suplementação de xilanase. Os porcos dos parques apresentaram maior consumo diário de ração e maior peso corporal final médio, mas tenderam a apresentar menor digestibilidade da matéria seca. A suplementação com xilanase apenas tendeu a melhorar a ingestão diária, independentemente das condições de alojamento. Em conclusão, a suplementação com xilanase libertou 27-29 kcal de energia digestível a partir de uma dieta à base de milho e bagaço de soja em porcos alojados em jaulas metabólicas ou parques. A suplementação com xilanase pode melhorar a digestibilidade fecal da matéria seca e aumentar o consumo de ração de porcos se eles tiverem acesso livre aos alimentos.
5. Efeitos da xilanase no rendimento dos porcos em crescimento: concentrações de ácidos gordos voláteis e do péptido YY no sangue portal e periférico.Os polissacáridos não amiláceos (PNA) presentes no trigo e na cevada podem actuar como antinutrientes, levando ao aumento da viscosidade do conteúdo digestivo e à redução da digestibilidade dos nutrientes. Tem sido demonstrado que a xilanase, uma enzima que degrada as PNA, aumenta a digestibilidade dos nutrientes nos porcos. No entanto, em dietas à base de cereais, com uma mistura de trigo e cevada, fornecida entre 14 e 41 kg de peso, a adição de xilanase não teve qualquer efeito sobre o crescimento, digestibilidade em todo o tracto MS, MO ou FB, a concentração de AGV ou a concentração do péptido YY quando se adicionam até 32.000 BXU / kg durante um período de 35 dias. O rendimento dos porcos foi bom para todos os tratamentos durante o ensaio, o que sugere que a qualidade da dieta foi suficiente, por isso não houve efeitos benéficos quando se adicionou a xilanase.














