L'uso quotidiano di acqua e i modelli di spreco dei suini hanno effetti importanti sull'efficacia degli antimicrobici dosati in acqua quando vengono utilizzati in metafilassi o in modo terapeutico in presenza di malattia clinica. Tuttavia, l'uso quotidiano di acqua e lo spreco non vengono quantificati di routine negli allevamenti e non sono ben compresi.
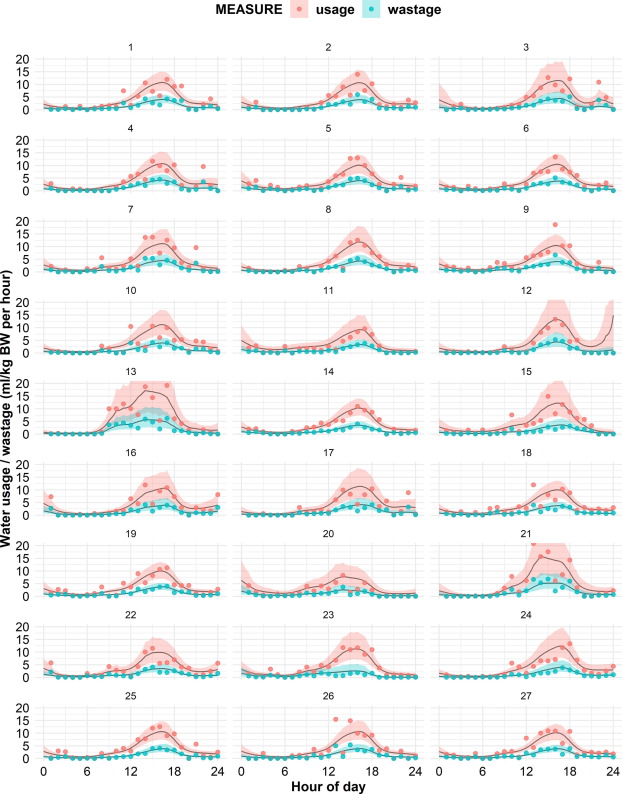
Abbiamo condotto uno studio prospettico e osservazionale di 27 giorni sull'uso quotidiano di acqua e sulle modalità di spreco di un gruppo di 15 suini da ingrasso in un allevamento. Abbiamo scoperto che il gruppo di suini sprecava in media il 36,5% dell'acqua utilizzata al giorno. Abbiamo sviluppato modelli su quando e come l'acqua veniva utilizzata e sprecata dai suini nelle 24 ore utilizzando un metodo statistico bayesiano con la funzione brm() nel pacchetto brms. Entrambi i modelli erano unimodali, con un picco a 1400–1700 e strettamente allineati.

Lo spreco era leggermente maggiore durante le ore di maggiore consumo di acqua.


S.B. Little, G.F. Browning, A.P. Woodward, H. Billman-Jacobe, Water consumption and wastage behaviour in pigs: implications for antimicrobial administration and stewardship, animal, Volume 16, Issue 8, 2022, 100586, ISSN 1751-7311, https://doi.org/10.1016/j.animal.2022.100586. (https://www.sciencedirect.com/science/article/pii/S1751731122001392)


