Como ya sabrás, el nombre de 3tres3 web procede de los "3 meses, 3 semanas y 3 días" de la duración de la gestación de la cerda. Este artículo propone la conveniencia de revisar la duración de la gestación en nuestra granja.
Durante nuestro trabajo diario encontramos una gran variedad de opiniones sobre la utilidad y el manejo que hacen los ganaderos y gerentes de los datos que se registran en granja. Este abanico se extiende desde producciones que ni siquiera tienen software de gestión, a lugares en los que se registran y analizan hasta los datos menos relevantes. Sin embargo, el que más sigue llamando nuestra atención es el caso en el que se registran muchos datos y se introducen en el software pero no se extrae ninguna información de ellos.

El caso real que exponemos en este artículo se encontraba en este grupo, una granja que registra los datos y los introduce en su software pero no los analiza posteriormente. Esta granja llegó hasta nosotros buscando una solución a su problema en partos: “algo pasa pero no sabemos lo que es”, nos decía el dueño de la granja.
Se trata de una producción con fases I y II, un censo que ronda las 700 cerdas de genética hiperprolífica, trabaja en bandas de 3 semanas y es positiva a PRRS sin clínica. Antes de visitar la producción, le pedimos que nos facilitase los datos de su granja para poder analizarlos y enfocar la visita a los lugares más conflictivos.
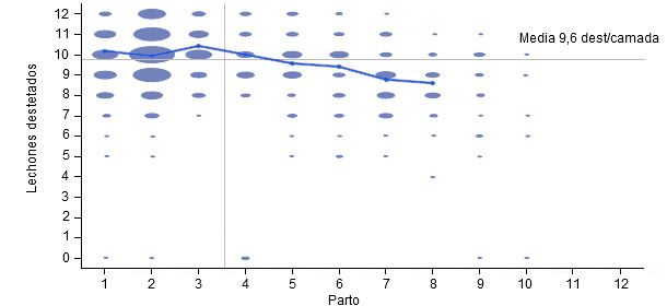
Nos preparamos para realizar un análisis complejo y largo puesto que lo único que sabíamos era que, de media, destetaban menos de 10 lechones por camada (figura 1) ,tenían una mortalidad predestete (MPD) de 15 % de media, sin diarreas ni indicios de otras patologías y, en teoría, el manejo en los primeros días post parto era adecuado.

Figura 1: gráfico que muestra el número de destetados por parto en los 6 meses anteriores a conocer la producción.
Para nuestra sorpresa, el “análisis complejo” para el que nos mentalizamos, no llegó a producirse. En uno de los primeros informes que extrajimos de los datos, “Histograma de duración de la gestación” (figura 2) encontramos que casi el 80% de estas cerdas hiperprolíficas estaban pariendo entre los días 114 y 115 de gestación, algo que no coincide con nuestra experiencia respecto a este tipo de cerda ya que el parto suele desplazarse hacia el día 116 o incluso el 117.

Figura 2: Histograma de duración de la gestación. Indica que en esta producción,
los partos son provocados para tener lugar el día 114.
Tenemos, por lo tanto, un indicio de que están provocando el parto a las cerdas demasiado pronto y esto hace perder peso al nacimiento y vitalidad al lechón tal y como hemos comprobado en otras ocasiones, en las que hemos encontrado diferencias de peso que pueden llegar hasta 300 gramos de media por lechón (figura 3), diferencia aún más acusada cuando se comparan primerizas.


Figura 3: Comparativa peso al nacimiento de partos provocados a los 114 d y partos naturales a los 116 d en cerdas hiperprolíficas.
A partir de este momento, continuamos con el análisis buscando otras consecuencias habituales en casos así, como un porcentaje elevado de lechones Nacidos Muertos (NM) o una MPD muy localizada el día del parto.
En relación al porcentaje de nacidos muertos, los valores oscilan entre 10,7 % y 6,7 % siendo la media de 8,4 % (figura 4). No son valores muy altos en comparación con los encontrados en otras ocasiones, sin embargo es un número que se puede mejorar.
| Total 14-jul-2013 a 15 abr 2014 | |
| Partos (camadas) | 1.357 |
| Partos asistidos | 0 |
| Partos inducidos | 0 |
| Camadas con menos de 7 nacidos vivos | 82 |
| (como % de los partos) | 6,0 % |
| N. totales | 16.502 |
| N. totales/camada | 12,14 |
| Nac. vivos | 15.124 |
| (% de N. totales) | 91,6 % |
| N. vivos/camada | 11,12 |
| N. muertos | 1.378 |
| (% de N. totales) | 8,4 % |
| NM/camada | 1,02 |
| Momificados | 0 |
| (% de N. totales) | 0,0 % |
| Momificados/camada | 0 |
Figura 4: Análisis de tendencias productivas. Información del parto.
Por desgracia, no pudimos analizar la distribución de las bajas en lactación porque este dato se anotaba en los partes diarios correctamente, sin embargo a la hora de meter los datos en el software, el encargado los fechaba todos en el día del parto (figura 5). Un fallo relativamente común que dificulta en muchas ocasiones el trabajo del veterinario de la granja cuando se presentan problemas en partos.

Figura 5: Análisis de bajas de lechones. Distribución por edad de la baja.
Una vez orientado el problema principal que puede ser la causa de la alta mortalidad en partos, el siguiente paso es visitar la granja y confirmar las sospechas, lo veremos en el próximo artículo.



