
Um resumo semanal das novidades da 3tres3.com.br
Faça seu login e inscreva-se na lista
Abstracts - Sanidade
Plataforma de engenharia do vírus da PSA baseada em genômica sintética

333 Emerging Voices: Avaliação da caudofagia em suínos no frigorífico
Tese integrada do Mestrado em Medicina Veterinária de Alice Gomes pela UTAD (Portugal), orientada pela profesora Madalena Vieira-Pinto.
Vacina recombinante baseada na subunidade S induz imunidade protetora contra deltacoronavírus suíno em leitões
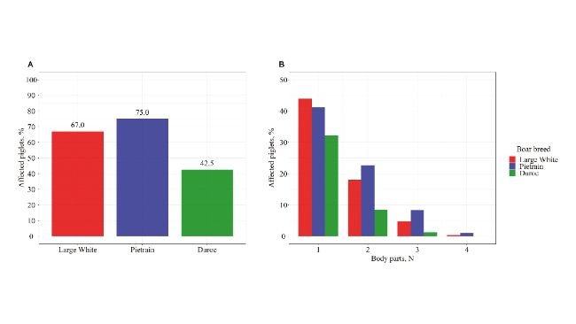
A subexpressão de genes que codificam proteínas musculares associa-se ao desenvolvimento de hérnia escrotal em suínos
Avaliação das mudanças no uso de antibióticos em suínos de engorda após a introdução do PRRSV em um sistema de ciclo fechado sem exposição prévia

Bem vindo a 3tres3
Conecte-se, compartilhe e interaja com a maior comunidade de profissionais da suinocultura.
Já somos 205327 Usuários!
Cadastre-seJá é usuário?


Social 333

333 Emerging Voices - A transmissão aerógena a longa distância do PRRSV: uma revisão sistemática
Este trabalho apresenta uma revisão sistemática da literatura científica disponível sobre a transmissão aerógena do PRRSV a longas distâncias. Trabalho de Conclusão de Curso da Faculdade de Veterinária, Universidade Autônoma de Barcelona, Espanha, supervisionado por Enric Mateu.
Padrões espaciais de propagação do vírus da influenza A através de compartimentos em granjas suínas comerciais nos EUA

333 Emerging voices: proteção inespecífica de Mycobacterium bovis inativado por calor contra a infecção por Salmonella Choleraesuis em suínos
Trabalho de Conclusão de Mestrado do Instituto de Pesquisa em Recursos Cinegéticos (IREC) da Universidade de Castilla-La Mancha (UCLM). Orientado pelo Prof. Dr. Christian Gortázar Schmidt e pela Prof.ª Dra. María de los Ángeles Risalde Moya.
Efeitos do desgaste dos dentes sobre as lesões faciais dos leitões, as lesões mamárias das fêmeas suínas e o desempenho produtivo
Ergotismo em uma granja orgânica de fêmeas suínas e seu impacto na produção durante a lactação e no desempenho reprodutivo subsequente
Persistência do PRRSV em granjas de matrizes vacinadas

Simulador de medicação via água

O enriquecimento ambiental afeta a imunidade e reduz a gravidade da doença em suínos após uma coinfecção, com efeitos mais pronunciados quando aplicado desde o nascimento
A cepa vacinal Asfv-G-∆I177l do vírus da PSA reverte a virulência e afeta negativamente o rendimento reprodutivo
Avaliação da concentração de hemoglobina em matrizes suínas e sua progênie ao longo de ciclos reprodutivos consecutivos

Base genética da síndrome de inflamação e necrose suína e sua associação com lesões cutâneas no pós-desmame e parâmetros produtivos
Os leitões geneticamente menos propensos a apresentar sinais da síndrome de inflamação e necrose suína também têm menor probabilidade de sofrer lesões cutâneas combinadas após o desmame.
Modelo quantitativo de avaliação do risco dos vírus DEP e PPA em plasma suíno secado por atomização
Comparação de um novo método de amostragem rápida para detectar o PRRSv em matrizes com infecção aguda

Peste Suína Africana (PSA)

+ Likes
Vacina com partículas semelhantes a vírus para induzir proteção imunológica contra o deltacoronavírus em leitões
Pools de órgãos para diagnóstico de PRRSV e PCV2 em abortos e natimortos
Avaliação da temperatura e do tempo na capacidade de sobrevivência de PRRSV e PEDV em superfícies experimentalmente contaminadas
Diferenças transcriptômicas sanguíneas na resposta imune sob estresse ambiental em função da densidade animal
Redução da concentração de aerossóis com ozônio em granjas de suínos
Presença de DNA do vírus PSA em moscas na granja durante surtos na Romênia


Um resumo semanal das novidades da 3tres3.com.br
Faça seu login e inscreva-se na lista