La peste suina africana (PSA) è una malattia altamente contagiosa che colpisce i suini domestici ed i cinghiali selvatici, con una mortalità fino al 100%. Il virus della PSA (ASFV) è un agente causale responsabile della PSA e altamente resistente negli ambienti, il che crea una sfida significativa per il controllo e l'eradicazione del virus. Nonostante l'espansione geografica della PSA e il movimento internazionale di prodotti per sostenere il sistema di produzione suina, vi sono conoscenze limitate sull'uso di campioni ambientali per eseguire la sorveglianza per prevenire l'introduzione della PSA nelle aree indenni da PSA e per il controllo della trasmissione nelle aree colpite.
Materiali e Metodi: questo studio mirava a sviluppare e ottimizzare le tecniche di campionamento per campioni ambientali per il rilevamento del virus della PSA. Le superfici in acciaio inossidabile sono state contaminate con sangue infetto da PSAv, tamponate utilizzando diversi dispositivi e quindi elaborate tramite tecniche diverse. I campioni ambientali sono stati elaborati e testati utilizzando l'analisi qPCR.

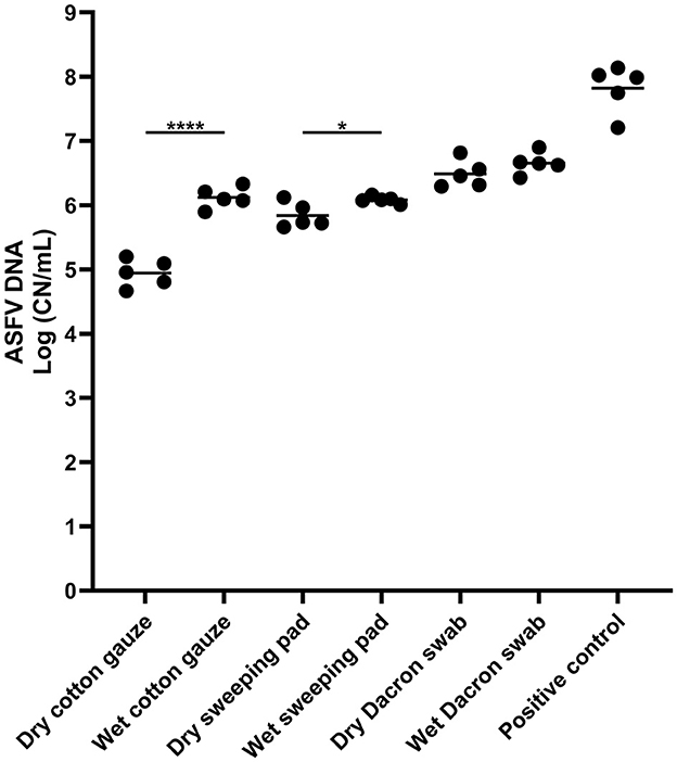
Risultati: I risultati hanno mostrato che l'uso di spugne chirurgiche di garza pre-inumidite, tamponi di pulizia e bastoncini di spugna ha determinato una maggiore sensibilità, rispetto ai dispositivi di campionamento a secco o al tampone Dacron. In particolare, la combinazione del bastoncino di spugna e del conservante commerciale per acidi nucleici ha supportato il miglior rilevamento del DNA del PSAV (ASFV) sulle superfici pulite in acciaio inossidabile valutate. La pre-incubazione per un breve periodo di tempo e la centrifugazione a bassa velocità sono state sufficienti per fornire una sensibilità diagnostica soddisfacente del rilevamento dell'ASFV utilizzando la qPCR per campioni ambientali. I nostri risultati contribuiscono allo sviluppo di tecniche per campioni ambientali per la sorveglianza dell'ASFV per prevenire l'introduzione e la diffusione dell'ASFV.

Kwon T, Gebhardt JT, Lyoo EL, Gaudreault NN, Trujillo JD, Woodworth JC, Paulk CB, Jones CK, Richt JA. Development and optimization of sampling techniques for environmental samples from African swine fever virus-contaminated surfaces with no organic contaminants. Front Vet Sci. 2024 Jul 18;11:1425928. doi: 10.3389/fvets.2024.1425928. PMID: 39091398; PMCID: PMC11292794.
