I suini Duroc sono razze popolari di verri terminali, una valutazione accurata dei parametri genetici nella popolazione può aiutare a razionalizzare i programmi di selezione in allevamento.
Lo scopo principale di questo studio era quello di valutare i parametri genetici della produzione (peso alla nascita, BW; età a 115 kg, AGE; indice di conversione alimentare, FCR) e le dimensioni corporee (lunghezza corporea, BL; altezza corporea, BH; circonferenza del torace anteriore , FCC) tratti dei suini Duroc.

Il secondo obiettivo era analizzare l'adattamento di diversi modelli di valutazione genetica. I componenti della varianza e le correlazioni dei tratti BW (28.348 misurazioni), AGE (28.335 misurazioni), FCR (11.135 misurazioni), BL (31.544 misurazioni, BH (21.862 misurazioni) e FCC (14.684 misurazioni) sono stati calcolati utilizzando DMU e AIREMLF90 dal pacchetto BLUPF90.
Nel modello di ambiente comune, l'ereditabilità dei tratti BW, AGE, FCR, BL, BH e FCC era 0,17 ± 0,014, 0,30 ± 0,019, 0,28 ± 0,024, 0,16 ± 0,013, 0,14 ± 0,017 e 0,081 ± 0,016, con valori comuni valori di effetto delle figliate di 0,25, 0,20, 0,18, 0,23, 0,19 e 0,16, rispettivamente. Secondo i risultati dei calcoli del criterio informativo di Akaike (AIC), i modelli con valori AIC minori hanno un adattamento migliore. Abbiamo scoperto che il modello dell’ambiente comune con l'influenza della figliata come effetti casuali per la stima dei parametri genetici si adattava meglio.

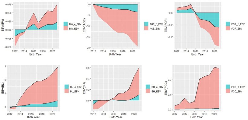
In questo modello, le correlazioni genetiche stimate tra AGE con i tratti BW, FCR, BL, BH e FCC erano −0,28 (0,040), 0,76 (0,038), −0,71 (0,036), −0,44 (0,060) e −0,60 ( 0,073), rispettivamente, con correlazioni fenotipiche rispettivamente di −0,17, 0,52, −0,22, −0,13 e −0,24. Nella nostra analisi delle tendenze genetiche per sei tratti nella popolazione Duroc dal 2012 al 2021, abbiamo osservato tendenze genetiche significative per AGE, BL e BH. Particolarmente degno di nota è il rapido declino della tendenza genetica dell'AGE, che indica un aumento degli incrementi di peso durante l'accrescimento attraverso la selezione.
Pertanto, riteniamo che alcuni tratti difficili da selezionare possano trarre vantaggio dalle correlazioni genetiche tra loro. Selezionando tratti facilmente misurabili, possono trarre vantaggio dagli effetti di selezione sinergici, portando al Progresso Genetico. Condurre analisi dei parametri genetici della popolazione può aiutarci a ideare strategie di selezione
Zhou Fuchen, Lin Danyang, Dong Linsong, Hong Yifeng, Zeng Haiyu, Cai Gengyuan, Ye Jian, Wu Zhenfang.Genetic evaluation for production and body size traits using different animal models in purebred-Duroc pigs.Frontiers in Veterinary Science10,2023/https://www.frontiersin.org/articles/10.3389/fvets.2023.1274266 DOI 10.3389/fvets.2023.1274266
