Introduzione: Sebbene il senso dell'olfatto nei suini sia ampiamente riconosciuto come altamente sviluppato, si sa sorprendentemente poco sulla loro capacità sensoriale. Questo studio mirava a (a) identificare quali odori non sociali i suini erano in grado di rilevare e distinguere, (b) indagare i tipi di comportamento espressi durante l'esplorazione degli odori e, (c) confrontare le risposte dei suini ai diversi odori per valutare le loro risposte di interesse per gli odori.
Metodi: Nell'esperimento sono stati arruolati suini in fase di accrescimento (N = 192) di razze commerciali incrociate (32-110 giorni di età, peso 64,9 ± 10,1 kg). Coppie di fratelli del sesso opposto sono state testate in box di prova con due punti di inserimento degli odori nella parete del box, a 55 cm di distanza tra loro. Tutti i suini erano già abituati ai box di prova e agli sperimentatori. Sono stati testati dodici odori (otto oli essenziali e quattro profumi sintetici) in gruppi di tre odori, con ciascuna coppia di suini testata una volta con una serie di tre odori (tutti i possibili ordini dei tre odori sono stati testati su 24 paia in totale), sempre contro un controllo senza odori (acqua demineralizzata). In un test, ciascuno dei tre odori è stato presentato durante tre prove consecutive (un totale di 9 tests per prova; durata della prova: 1 minuto; pause tra le prove: 2 minuti; durata totale del test: 25 minuti). Le variabili di risposta includevano: durata del tempo impiegato nell'annusare, comportamento correlato all'alimentazione (leccare, mordere e grufolare), comportamento agonistico (mordere, spostare e spingere) e nessun approccio all'odore o al controllo, registrati durante ciascuna presentazione dell'odore di 1 minuto.

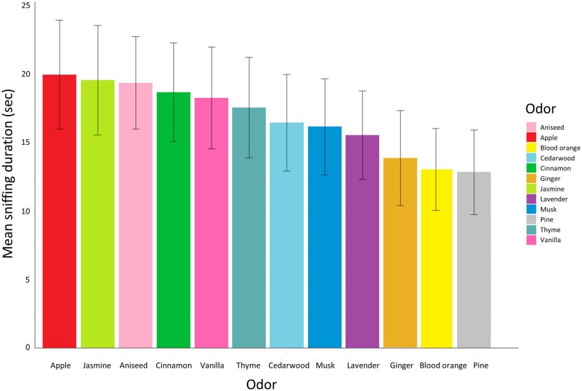
Risultati: tutti i suini hanno annusato almeno un odore quando gli veniva presentato ripetutamente (LMM: tutti gli odori P < 0,05), e significativamente più a lungo alla successiva presentazione di un nuovo odore [LMM (3a vs. 1a presentazione): P < 0,001]. L'odore specifico e il tipo di odore (olio essenziale rispetto al profumo sintetico) non hanno avuto effetti significativi sulla durata dell'annusata. Nel complesso, il comportamento correlato all'alimentazione e il comportamento agonistico sono stati espressi in modo significativamente maggiore quando i suini esploravano l'odore rispetto al punto di inserimento del controllo (t-test per dati accoppiati: P < 0,001), e l'odore specifico influenzava solo l'espressione del comportamento correlato all'alimentazione.
Conclusione: Collettivamente, i suini esprimono comportamenti di fiuto, agonistici e legati all'alimentazione quando esplorano gli odori, il che suggerisce che i suini percepiscono gli odori di origine non sociale o estraneo al loro ambiente come una risorsa. Gli odori possono quindi costituire un Materiale di Arricchimento rilevante per i suini...
Rørvang MV, Schild S-LA, Stenfelt J, Grut R, Gadri MA, Valros A, Nielsen BL and Wallenbeck A (2023) Odor exploration behavior of the domestic pig (Sus scrofa) as indicator of enriching properties of odors. Front. Behav. Neurosci. 17:1173298. doi: 10.3389/fnbeh.2023.1173298

