A suinocultura enfrenta desafios crescentes, sendo o controle sanitário um dos mais importantes e atualmente sob pressão crescente para reduzir e limitar o uso de antibióticos. Este cenário coloca a biosseguridade como ferramenta de primeiro nível na prevenção de doenças (Wood et al., 2011).
Neste contexto, parece que todos os caminhos conduzem à biosseguridade, parafraseando o ditado espanhol, e de acordo com os estudos mais recentes, parece que a melhor forma de abordar a biosseguridade não é a mesma em todos os casos. Buccini et al. (2023) descrevem como os avanços em biosseguridade são estabelecidos com base na percepção e tolerância ao risco das pessoas. Desta forma, encontramos duas realidades opostas; uma associada a situações classificadas como de alto risco, onde as decisões devem ser tomadas de forma rápida e rigorosa e outra onde o risco percebido é menor e as respostas são mais graduais e menos eficazes.

Em suma, para sermos eficientes em biosseguridade e protegermos as nossas granjas, não basta apenas sermos tecnicamente competentes, mas também devemos conhecer o ambiente de aplicação e compreender os responsáveis pela implementação das medidas propostas.
Nesta linha, a pesquisa publicada na 3tres3 sobre biosseguridade, mostrou alguns aspectos interessantes sobre a opinião dos profissionais do setor que responderam, incluindo mais de 400 respostas de vários países.
As perguntas feitas e os resultados obtidos foram os seguintes:

A resposta majoritária foi que em ambos (62,9%), considerando que as falhas na biosseguridade são generalizadas e afetam igualmente a biosseguridade interna e externa, estando as falhas na biosseguridade interna em segundo lugar.
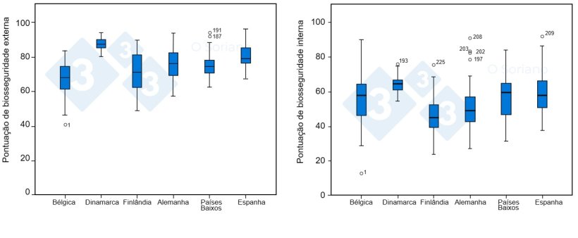
A base de dados Biochek.Ugent conta atualmente com 54.339 pesquisas realizados para avaliar a biosseguridade nas granjas suinícolas. Segundo ele, a biosseguridade interna tende a ser geralmente classificada como pior, com médias globais de 76 e 69% respectivamente (fevereiro de 2024) tanto nas granjas de matrizes como nas granjas de terminação, sendo em muitos casos definida como a mais esquecida, como mostram os gráficos 2-5 (Biocheck.UGent no Projeto Prohealth EU).



Em relação à categoria profissional, é interessante observar que são os pesquisadores que em maior percentual acertam ao apontar a biosseguridade interna como a que obtém as piores avaliações.
A resposta mais comum (51,0%) dos casos foi “Implementar medidas rápidas e rigorosas”, embora seguida de perto por “implementá-las aos poucos” (41,3%). De acordo com os últimos estudos sobre comportamentos de biosseguridade (Buccini et al.), o primeiro é o correto em situações de alto risco e coincide com o que a pesquisa nos mostra, com pontuações mais elevadas em países fortemente ameaçados pela PSA, como o Vietnã e a Rússia, já que a sua resposta pode estar associada à percepção desta grave ameaça. Somente em situações com um status sanitário elevado e, portanto, com um risco percebido mais baixo, poderia ser considerada uma implementação mais gradual de protocolos de biosseguridade (ou seja, países com um status sanitário geral elevado, como o Brasil ou a Argentina).

No que diz respeito às opiniões baseadas no papel do respondente, o leque de opiniões é estreito entre os diferentes profissionais. Assim, observamos que são os suinocultores que preferem maioritariamente propor intervenções rápidas e rigorosas (56,48%) e os agrônomos que também preferem maioritariamente intervenções graduais (48,83%).

A rejeição de ter gatos para controle de roedores é majoritária (77,90%), embora pareça que há muito espaço para melhorias, já que 22,1% dos pesquisados acham que é bom tê-los. Há dois países que estão muito à frente em evitá-los (Vietnã e Rússia, 89,18 e 93,33% respectivamente), talvez também relacionados com a percepção da ameaça da PSA. Em relação às funções associadas, estudantes e médicos veterinários apresentam o maior percentual de rejeição (93,75 e 83,90%, respectivamente).

Conclusões
Os resultados desta pesquisa mostram que, embora a percepção da biosseguridade e da sua implementação em geral esteja na direção certa, ainda há muito espaço para melhorias entre muitos profissionais do setor, que não estão plenamente conscientes de que a biosseguridade interna frequentemente é mais valorizada que a externa, bem como as vantagens da aplicação rápida e rigorosa de protocolos de biosseguridade em situações de alto risco, bem como os riscos de manter gatos para controle de roedores.

Tudo isso deve nos motivar a melhorar a informação oferecida em nossas granjas com pesquisas bem estruturadas e padronizadas internacionalmente, como o Biocheck UGent. Além disso, através do ADA Biocheck podem ser realizados estudos mais detalhados sobre os fatores que afetam a biosseguridade não só nas granjas individuais mas também em grupos de granjas ou empresas, promovendo ações corretivas e de formação mais concretas tanto para o pessoal da granja, veterinários, consultores ou pesquisadores procurando sempre melhorar a biosseguridade, sempre considerando-a um trabalho 24 horas por dia, 7 dias por semana.









