Como você deve saber, o nome da 3três3, significa "3 meses, 3 semanas e 3 dias" que é a duração da gestação da fêmea suína. Este artigo foi proposto para revisar a duração da gestação de nossa produção.
Durante o nosso trabalho diário encontramos uma grande variedade de opiniões sobre a utilidade e o manejo que os produtores e técnicos fazem dos dados registrados nas propriedades. Este fato estende-se desde explorações que nem sequer têm software de gestão, a lugares em que se registram e analisam até os dados menos relevantes. Contudo, o que mais chama a nossa atenção é o caso em que se registram muitos dados e se introduzem no software mas não se extrai nenhuma informação dos mesmos.

O caso real que expomos neste artigo encontra-se neste grupo, uma produção em que se registram os dados e se introduzem no seu software mas que não são analisados posteriormente. Esta granja chegou até nós procurando uma solução para o seu problema nos partos: “algo acontece mas não sabemos o que é”, dizia-nos o dono da granja.
Trata-se de uma granja com fases I e II, um efetivo aproximado de 700 fêmeas com genética hiperprolífica, trabalha em lotes de 3 semanas e é positiva a PRRS sem sintomas clínicos. Antes de visitar a propriedade, pedimos que nos fornecesse os dados da sua produção para podermos analisar e focar a visita nos locais com maiores problemas.
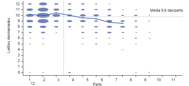
Foi preparado uma análise complexa e longa dos dados, onde a única coisa que sabíamos era que, em média, desmamavam menos de 10 leitões por leitegada (figura 1), tinham uma mortalidade pré-desmame (MPD) com uma média de 15 %, sem diarreias nem indícios de outras patologias e, em teoria, o manejo nos primeiros dias pós-parto era adequado.

Figura 1: Gráfico que mostra o número de desmamados por parto nos 6 meses anteriores a visita na propriedade.
Para nossa surpresa, a “análise complexa” que realizávamos, não chegou a ser finalizada. Em um primeiro relatório dos dados extraídos, foi feito o “Histograma de duração da gestação” (figura 2) encontramos que quase 80% destas reprodutoras hiperprolíficas estavam parindo entre os dias 114 e 115 de gestação, algo que não coincide com a nossa experiência com esse tipo de porca, já que o parto costuma ocorrer no dia 116 ou até 117.

Figura 2: Histograma de duração da gestação. Indica que nesta propriedade,
os partos são induzidos para ocorrerem no dia 114.
Temos, portanto, um indício de que estão induzindo o parto nas fêmeas cedo demais e isto faz perder peso ao nascimento e vitalidade do leitão como já comprovamos em outras ocasiões, e encontramos diferenças de peso que podem chegar a 300 gramas de média por leitão (figura 3), diferença ainda maior quando se comparam primíparas.


Figura 3: Comparativo do peso ao nascimento de partos induzidos aos 114 d e partos naturais aos 116 d em fêmeas hiperprolíficas.
A partir deste momento, continuamos com a análise para procurar outros fatores habituais em casos idênticos a este, como uma porcentagem elevada de leitões nascidos mortos (NM) ou uma MPD muito localizada no dia do parto.
Em relação a porcentagem de nascidos mortos, os valores oscilam entre 10,7 % e 6,7 % sendo a média de 8,4 % (figura 4). Não são valores muito elevados em comparação com os encontrados em outras ocasiões, contudo é um número que pode ser reduzido.
| Total 14-jul-2013 a 15 abr 2014 | |
| Partos (leitegadas) | 1.357 |
| Partos assistidos | 0 |
| Partos induzidos | 0 |
| Leitegadas com menos de 7 nascidos vivos | 82 |
| (em % dos partos) | 6,0 % |
| N. totais | 16.502 |
| N. totais/parto | 12,14 |
| Nasc. vivos | 15.124 |
| (% de N. totais) | 91,6 % |
| N. vivos/parto | 11,12 |
| N. mortos | 1.378 |
| (% de N. totais) | 8,4 % |
| NM/parto | 1,02 |
| Mumificados | 0 |
| (% de N. totais) | 0,0 % |
| Mumificados/parto | 0 |
Figura 4: Análise de tendências produtivas. Informação do parto.
Infelizmente, não foi possível analisar a distribuição das baixas na lactação porque este dado era anotado nos relatórios diários corretamente, contudo no momento de introduzir os dados no software, o encarregado lançava-os todos com a data do dia em que a fêmea pariu (figura 5). Uma falha relativamente comum que dificulta, em muitas ocasiões, o trabalho do veterinário da exploração quando se apresentam problemas nos partos.

Figura 5: Análise de baixas de leitões. Distribuição da baixa por idade.
Uma vez orientado o problema principal que pode ser a causa da alta mortalidade nos partos, o passo seguinte é visitar a propriedade e confirmar as suspeitas, o que veremos em artigos futuros.

