
Como avalia a contribuição dos probióticos nos seus porcos?
Factores a considerar ao determinar se os probióticos vão ajudar a conseguir os seus objectivos na exploração em termos de crescimento, saúde e bem-estar animal.

Um resumo semanal das novidades da 3tres3.com.pt
faz login e inscreve-te na lista

Factores a considerar ao determinar se os probióticos vão ajudar a conseguir os seus objectivos na exploração em termos de crescimento, saúde e bem-estar animal.

Devem ser considerados todo o tipo de factores que influem nos ensaios de alimentação, caso contrário, os resultados poderão não ser úteis.

O número ideal de porcos por boca de comedouro deve ser encontrado de acordo com o tipo de dieta e o tamanho do porco para maximizar o rendimento e melhorar o bem-estar dos animais.

Ficha técnica com o valor nutricional (comparação de tabelas), produção e estudos mais recentes sobre a farinha de peixe.

A produção suína deve enfrentar as preocupações com as mudanças climáticas e fornecer evidências para demonstrar os esforços feitos para minimizar a nossa pegada ambiental.

A aveia oferece muitos benefícios à saúde dos animais, entre os quais o efeito calmante no intestino das porcas que ajuda a prevenir a obstirpação no momento do parto além de conter altos níveis de ácidos gordos poli-insaturados, fosfolipidos, proteínas de alta qualidade, fibras de beta-glucano, minerais e vitaminas.

Como podemos aumentar o consumo de ração das porcas durante a lactação em condições de stress por calor?

O padrão de consumo alimentar das porcas muda ao longo do dia segundo a estação.

Bem-vindo à 3tres3
Ligue-se, partilhe e relacione-se com a maior comunidade de profissionais do sector suinícola.
Já somos 203643 Utilizadores!
Regista-teJá é membro?


Ficha de dados técnicos com valor nutricional (comparação de tabelas) e estudos mais recentes sobre a banha.

Que efeito o espaço do comedouro e o tamanho do grupo têm no crescimento e lesões na orelha e na cauda?

O custo do stress por calor na indústria suína dos Estados Unidos estima-se em $300 milhões.

Como é que a alimentação nos dias antes do parto influencia o peso do leitão ao nascimento? E o peso ao desmame?

Durante a lactação é fundamental garantir o consumo de água da porca assim como manter o rácio água:ração necessário para conseguir uma menor perda de peso da porca e um maior ganho diário dos leitões.

A harmonização do controlo de curto e longo prazo da ingestão de alimentos requer um sistema quimiosensorial preciso, capaz de se comunicar com o cérebro.

Os desvios no padão de consumo normal da porca durante a fase de lactação têm implicações produtivas importantes.




A alimentação da porca durante a gestação e lactação é muito importante para o desenvolvimento correcto do feto ou para garantir a produção de leite.

Que devemos avaliar para estabelecer as curvas de alimentação: como, quando e porquê aumentar a ração, quantidade de ração por refeição e outras questões respondidas a partir da experiência de produção de Can Ballau, Porc d'or para a produtividade numérica

Que nutrientes podemos fornecer, ou reduzir, nas dietas dos leitões tanto durante a lactação como após o desmame para melhorar a resposta imunitária e o crescimento.

Entre as possíveis causas podemos pensar num baixo nível de vitamina E na dieta das porcas, envenenamento por warfarina ou trombocitopenia púrpura.

Ainda que os porcos não sejam particularmente eficientes na fermentação da fibra, felizmente existem, no mercado, várias enzimas que a degradam, mas é importante usar enzimas específicas que coincidam com o substracto.

A hora a que se distribui a ração afecta os rendimentos reprodutivos?

Ficha técnica com o valor nutricional (comparação de tabelas) e estudos mais recentes sobre o sorgo.

O papel da fibra dietética merece ser considerado no âmbito das novas estratégias para paliar problemas entéricos, na ausência de níveis elevados de óxido de zinco.



Qual o risco de transmissão de doenças através da importação de matérias-primas? Muitos ingredientes são produzidos na China.

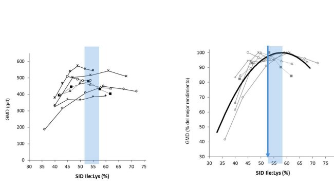
Níveis deficitários de isoleucina em rações com baixo teor em proteína bruta podem comprometer o crescimento e eficiência alimentar dos leitões.

Além das medidas profiláticas, a nutrição de porcas de reposição desempenha um papel crucial no desenvolvimento de seu estado de saúde. Esta revisão aborda diferentes estratégias para aumentar o estatuto imunológico durante a quarentena.

Ficha técnica com o valor nutricional (comparação de tabelas), produção, comércio e estudos mais recentes sobre o plasma animal.

O fornecimento adicional de nutrientes através da água é uma ferramenta rápida em períodos de stress.

O uso de sub-produtos fibrosos em rações para suínos reduz as emissões de amónia e óxido nitroso no chorume para os solos agrícolas.


Um resumo semanal das novidades da 3tres3.com.pt
faz login e inscreve-te na lista