
Schemat pobierania paszy przez lochy w laktacji: Ważniejszy niż może się wydawać.
Zmiana schematu pobierania paszy w trakcie laktacji ma ogromny wpływ na produkcyjność zwierząt.

Cotygodniowy newsletter podsumowujący najnowsze informacje z 3trzy3.pl
Zaloguj się i zapisz do subskrypcji

Zmiana schematu pobierania paszy w trakcie laktacji ma ogromny wpływ na produkcyjność zwierząt.

Trzy główne podejrzenia obejmowały niski poziom witaminy E w paszy loch, zatrucie warfaryną lub plamica małopłytkowa.

Których składników pokarmowych powinno być więcej, a których mniej, w dawce żywieniowej w okresie przed i po odsadzeniu, aby odpowiednio stymulować odpowiedź immunologiczną i wzrost prosiąt.

Jakie składniki pokarmowe powinny być zawarte w dawce pokarmowej dla loch, aby stymulowały one wzrost płodu, produkcję mleka i siary oraz regulowały odpowiedź immunologiczną.

Czy pora karmienia ma znaczenie podczas ciąży?

Jak, kiedy i dlaczego należy zwiększyć dawkę paszy? Co należy wziąć pod uwagę przy tworzeniu krzywych? Doświadczenie rolnika z pierwszej ręki z Can Ballau, który odpowiada na te i inne pytania.

Jakie ryzyko transmisji choroby wiąże się z importem surowców? Wiele składników pasz produkowanych jest w Chinach.

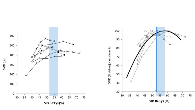
Niedobór poziomu izoleucyny w paszy o niskiej zawartości surowego białka może zagrozić wzrostowi i stosunkowi przyrostu do spożycia paszy u prosiąt.

Witamy na 333
Nawiązuj kontakty, dziel z innymi i wchodź w interakcje z największą społecznością profesjonalistów w branży trzody chlewnej.
Świętujemy 207168 użytkowników na 333!
Zarejestruj sięJesteś już użytkownikiem?


Dodatkowe dostarczanie składników odżywczych przez wodę jest szybką pomocą w okresach stresu.

Mączki sojowe z USA, Brazylii i Argentyny, czyli głównych eksporterów, mogą znacznie różnić się pod względem zawartości składników odżywczych.

Zmieniły się systemy i mechanizmy karmienia loch w okresie laktacji, ponieważ technologia wpłynęła na modernizację ferm trzody chlewnej.

Błonnik w diecie poprawia wydajność produkcji siary loch i pomaga zmniejszyć długość porodu. Ale ... ile gramów błonnika zaleca się podawać lochom w ciągu ostatniego tygodnia przed porodem?

Jak osiągnąć średnią dzienną dawkę 6 kg, której potrzebują dzisiejsze lochy karmiące?

Poniższy artykuł opisuje strategie żywieniowe prowadzące do poprawienia efektywności trawienia i wchłaniania związków odżywczych, co w efekcie wspomaga funkcjonowanie całego przewodu pokarmowego.




Niektóre strategie żywieniowe mogą mieć działanie antybakteryjne. Przykładowe modyfikacje zostały opisane w poniższym artykule.

Zwiększony pobór paszy przez lochy, ochrona przed biegunką prosiąt, poprawa jakości mięsa i wiele innych…

W jaki sposób można wpływać na rozwój mikrobioty oddziałującej korzystnie zarówno na organizm świni, jak i efektywność proprodukcji? Który moment jest najlepszy do podjęcia takich działań?

Suplementacja proteaz w paszy świń skutkuje pozytywnym, niejednoznacznym, niespójnym lub, w niektórych przypadkach, ujemnym wpływem na wydajność

Przerośnięty róg racic powoduje, że kończyny loch ślizgają się po podłożu, racice pękają i kruszą się, następnie dochodzi do zakażeń i bakteryjnego zapalenia tworzywa racicy o podłożu wieloczynnikowym.

Zestawienie różnych strategii żywieniowych wpływających na właściwe zdrowie jelit, pogrupowanych uwzględniając dodatki żywieniowe, składniki funkcjonalne oraz modyfikację diety.

Probiotyki i aminokwasy usprawniają barierę obronną jelit. Kwasy tłuszczowe omega-3, osocze, probiotyki, prebiotyki, itp. wzmacniają odpowiedz immunologiczną organizmu.



Co to jest stres oksydacyjny i dlaczego jest tak ważny? Jaki związek ma z pogryzieniami ogonów, odsadzeniem, zaawansowaną ciążą lub wysoką produkcją mleka?

Od 13 sierpnia 2019 r. maksymalna dopuszczalna zawartość miedzi w paszy dla prosiąt zostanie zmniejszona. W obliczu tej zmiany, jakie strategie żywieniowe można zastosować?

Krytyczne okno możliwości wokół momentów przejściowych umożliwia kształtowanie rozwoju jelit, potencjalnie prowadząc do długotrwałego wpływu na zdrowie jelit.

Główne czynniki w przewodzie pokarmowym, które warunkują odpowiednią pracę jelit.

Co kryje się pod terminem "zdrowie jelit", o którym wszyscy mówią? Dlaczego to jest ważne?

Celem tego artykułu jest krytyczna ocena zastosowania probiotyków w fazie po odsadzeniu i dostarczenie kilku sugestii dotyczących poprawy wyników.


Cotygodniowy newsletter podsumowujący najnowsze informacje z 3trzy3.pl
Zaloguj się i zapisz do subskrypcji