Làm thế nào để vắc-xin M. hyo phát huy hiệu quả tốt nhất
M. hyo cũng là một mầm bệnh chính gây bệnh hô hấp phức hợp PRDC (Porcine Respiratory Disease Complex). Cả EP và PRDC đều gây thiệt hại kinh tế đáng kể trong ngành chăn nuôi heo do giảm tỉ lệ tăng trưởng, giảm hiệu quả chuyển hóa thức ăn, tăng chi phí điều trị và trong trường hợp PRDC diễn biến phức tạp còn làm tăng tỉ lệ chết.
M. hyo có đặc điểm: tạo điều kiện thuận lợi cho virus PRRS và PCV2 phát triển, cũng như tăng tính nghiêm trọng của bệnh viêm phổi do PRRS hay A. pleuropneumoniae.

Hình 1: Bệnh tích viêm phổi do M.hyo
Vai trò miễn dịch
Cách thức hệ miễn dịch hoạt động chống lại M. hyo chưa được hiểu rõ. Thực tế, M. hyo khu trú thường xuyên trong đường hô hấp trên và có thể gây viêm phổi. M. hyo tương tác với hầu hết mọi thành phần trong hệ miễn dịch. Trong phổi bị nhiễm có sự gia tăng các chất tiền viêm và kháng viêm, các chất điều hòa miễn dịch trung gian như PGE2 (Prostaglandin E2), các Interleukin khác nhau, TNF-α và Interferon-gamma (IFN-γ). Một số trong các chất này góp phần làm sạch mầm bệnh, nhưng ngược lại một số khác lại kìm hãm hệ miễn dịch hoạt động hiệu quả.
Việc chủng ngừa giúp heo điều gì?
Chủng ngừa không thể ngăn chặn M. hyo khu trú trên thú nhiễm bệnh; tuy nhiên bệnh tích phổi ở heo chủng ngừa được giới hạn và lành bệnh sớm hơn heo không chủng ngừa, đồng thời hạn chế việc bài thải M. hyo qua đường hô hấp trên. Nhờ thế, heo chủng ngừa có bệnh tích phổi ít hơn, giảm thiểu sự nhân lên và bài thải M. hyo qua đường mũi. Ưu điểm chủ yếu của chủng ngừa chính là cải thiện được tăng trọng ngày (2-8%) và tỉ lệ chuyển hóa thức ăn (2-5%).
Có nhiều cơ chế đáp ứng miễn dịch trong việc bảo vệ chống lại M. hyo. Cả kháng thể niêm mạc và đáp ứng miễn dịch tế bào đều rất quan trọng để kiểm soát Mycoplasma gây bệnh viêm phổi. Heo chủng ngừa rồi bị nhiễm M.hyo sẽ có những thay đổi tích cực trong hệ thống miễn dịch ở phổi hơn con không chủng ngừa.
Thực nghiệm chứng minh hiệu quả HYOGEN®
Nhiều nghiên cứu thực nghiệm đã chứng minh khả năng bảo hộ tốt của vắc-xin HYOGEN® (Ceva) – một vắc-xin bất hoạt M. hyo có chất bổ trợ đặc biệt Imuvant. Sau khi chủng HYOGEN®, quan sát thấy đáp ứng mạnh của phản ứng miễn dịch toàn thân và miễn dịch cục bộ như IgA, ít cytokine gây viêm, ít bài thải M. hyo và giảm đáng kể bệnh tích phổi. Bên cạnh chủng M. hyo độc đáo trong vắc-xin, chất bổ trợ đóng vai trò quan trọng tạo hiệu quả bảo hộ.
Imuvant - chất bổ trợ nhũ tương dầu trong nước được phát triển bởi Ceva, với công thức tối ưu chứa Lipopolysaccharide (LPS) không độc hại có nguồn gốc từ dòng J5 của Escherichia coli. LPS kích hoạt đáp ứng miễn dịch không đặc hiệu, thông qua hoạt hóa đại thực bào và các tế bào trình diện kháng nguyên (APCs) khác. Kháng nguyên lipoprotein từ M.hyo gắn kết với bề mặt chất bổ trợ sẽ làm tăng khả năng nhận biết của APCs. Sự kích hoạt các phần khác nhau của hệ thống miễn dịch giúp tăng cường đáp ứng miễn dịch kháng thể và trung gian tế bào. Kết quả là việc nhận diện kháng nguyên hiệu quả và đáp ứng miễn dịch chủ động, tạo ra các tế bào miễn dịch nhớ lâu hơn, từ đó bảo vệ hoàn toàn trước M. hyo.
Thử nghiệm in vitro, J5 LPS kích thích các bạch cầu đơn nhân hoạt động mạnh mẽ và có thể đo lường bằng phản ứng oxy hóa. Lượng oxy phóng thích là chỉ định để tính số lượng các tế bào bạch cầu được hoạt hóa.
Biểu đồ 1: Thử nghiệm in vitro đo lượng oxy hóa của bạch cầu đơn nhân trong máu ngoại vi sau khi tiếp xúc với J5 (FA 12/22). 100% tế bào đơn nhân đều được kích hoạt.

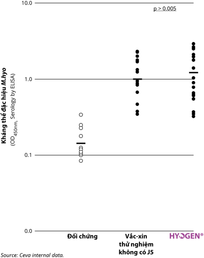
Biểu đồ 2: Đáp ứng kháng thể M. hyo đặc hiệu sau khi chủng ngừa 21 ngày (ELISA log M. hyo)

Gần đây, một nghiên cứu được thực hiện để đánh giá hiệu quả thúc đẩy của chất bổ trợ J5 trong vắc-xin khi tiêm cho heo con. Một nhóm heo sẽ được chủng ngừa với HYOGEN® có chất bổ trợ J5 LPS và một nhóm tiêm vắc-xin M. hyo nhũ dầu đã loại bỏ chất bổ trợ J5, cùng một nhóm đối chứng không chủng ngừa. 18 ngày sau khi chủng ngừa, toàn bộ heo được công cường độc với chủng M. hyo độc lực. 28 ngày sau công cường độc, sẽ tiến hành chấm điểm phổi heo thí nghiệm.
Biểu đồ 3: Trung bình điểm bệnh tích phổi ở 28 ngày sau công cường độc với chủng M. hyo độc lực

Kết quả cho thấy: đáp ứng miễn dịch dịch thể mạnh hơn và miễn dịch trung gian tế bào ở nhóm có chất bổ trợ J5 cao hơn nhóm không có J5.
Đánh giá điểm bệnh tích phổi ở các nhóm cho thấy tỷ lệ viêm phế quản – phổi ở hai nhóm chủng ngừa thấp hơn đáng kể so với nhóm đối chứng (p<0.05) và số phổi có bệnh tích ở nhóm HYOGEN® thấp hơn hẳn nhóm vắc-xin không J5.
Biểu đồ 4: Đáp ứng qua trung gian tế bào ở 21 ngày sau chủng ngừa được (log IFN đặc hiệu M.hyo)

Kết luận
Chủng ngừa M. hyo giúp giảm bệnh tích trên phổi cả về mức độ và thời gian. Kháng nguyên và chất bổ trợ rất cần thiết để kích thích tạo ra đáp ứng miễn dịch. LPS trong vắc-xin M. hyo có vai trò tăng cường đáp ứng miễn dịch dịch thể và miễn dịch trung gian tế bào.
Nhiều nghiên cứu chứng minh hiệu quả của J5 trong chất bổ trợ Imuvant đóng vai trò tạo đáp ứng miễn dịch mạnh mẽ bảo hộ chống lại M. hyo. Đặc biệt, miễn dịch trung gian tế bào mạnh hơn và sản xuất kháng thể cao hơn khi có sự kết hợp của J5. Kết quả miễn dịch tốt được biểu hiện qua điểm bệnh tích phổi thấp hơn. Chất bổ trợ Imuvant giúp HYOGEN®trở thành một giải pháp hữu hiệu để kiểm soát bệnh Viêm phổi địa phương trên heo.
Tác giả: Dr. Roman Krejci, Ceva Animal Health - Pháp
Contact:
Contact us using the following form.