Introduction
Ce cas clinique montre l'évolution des lésions à l'abattoir d'Octobre 2014 à Avril 2016 dans un élevage de 280 truies en Irlande. Pendant cette période, des différences significatives dans le niveau des lésions pathologiques associées à des changements dans le programme de vaccination contre Mycoplasma hyopneumoniae (M hyo) et des systèmes de production différents ont été détectés.
Système de production
L’élevage se compose de deux sites. Les truies sont sur le site 2. Il y a des porcs sevrés et en engraissement à la fois sur les sites 1 et 2. Chaque semaine environ 160 porcs sevrés avec une moyenne de 28 jours de vie sont sevrés. 50% des porcs sevrés restent dans le post-sevrage du site 2, tandis que les autres 50% sont transférés sur le site 1, où ils seront aussi engraissés. Après le post-sevrage, 8 lots sur 10 du site 2 sont déplacés vers le site 1, les 2 autres lots sont engraissés sur le site 2. La figure 1 illustre le flux des porcs entre les deux sites.

Statut sanitaire
L'élevage est infecté par M. hyo, SDRP, PCV2 et grippe porcine.
Plan sanitaire: hygiène et protocoles vaccinaux et médicamenteux
Les porcelets sont vaccinés contre M. hyo (dose unique jusqu'en Décembre 2014 et deux doses à partir de ce moment-là), SDRP et PCV2.
On donne du «creep feed» pendant les 7-14 premiers jours après le sevrage avec l'amoxicilline et de l'oxyde de zinc. L’alimentation de démarrage (link feed) contient de l'oxyde de zinc. Les aliments de PS et d’engraissement ne sont pas supplémentés.
Le tableau 1 décrit les programmes d’hygiène, de vaccination et de traitements utilisés en 2015-2016.
Tableau 1: Programmes d’hygiène, de vaccination et de traitements utilisés en 2015-2016
| Site 2 truies + sevrage + engraissement | Site 1 sevrage + engraissement | |
| Age de sevrage | 28 jours | |
| Hygiène | ||
| Post-sevrage 1 | Lavage / désinfection | |
| Post-sevrage 2 /Engraissement | Lavage | |
| Vaccins | Mycoplasme (7+28 jours) | |
| SDRP(14 jours) | ||
| PCV2 (28 jours) | ||
| Traitement dans l'aliment | ||
| Creep | Amoxicilline ZnO | |
| Link feed | ZnO | |
Contrôle à l’abattoir 2014-2015
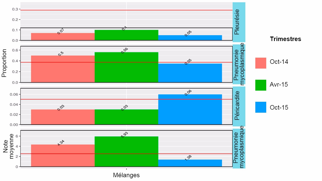
A l'occasion d'une augmentation des maladies respiratoires observées dans l’élevage, en Octobre 2014 un contrôle AIMS (Agrihealth Inspection and Monitoring Service) a été effectué à l'abattoir. La proportion de porcs présentant des lésions de pneumonie mycoplasmique (50%) et le score moyen (méthode Goodwin) par porc (4,3) étaient élevés. L’implication de M. hyo a été confirmée par histopathologie des lésions pulmonaires fixées au formol. La prévalence de pleurésie était faible.
La vaccination contre M. hyo a été révisée. Le protocole à dose unique existant a été changé pour deux applications, à 7 et 28 jours de vie.
Des inspections semestrielles à l’abattoir ont été fixées, la première en Avril 2015, lorsque les derniers lots de porcs vaccinés avec l'ancien protocole ont été abattus.
56% des poumons qui ont été examinés en Avril 2015 présentèrent des lésions pneumonie à mycoplasme, avec une note moyenne de 5,9. Ces résultats sont similaires aux résultats de l'inspection qui a été menée en Octobre 2014.
En Octobre 2015, on a réalisé la première inspection de porcs ayant reçu deux doses de vaccin contre M hyo. Une réduction significative du niveau de pneumonie à mycoplasme (proportion de poumons avec lésions de 35%, score moyen de pneumonie de 1,4) a été observée.
Les niveaux de pneumonie mycoplasmique, pleurésie et péricardite enregistrés dans la période Octobre 2014-2015 sont présentés sur la figure 2. Tous les porcs inspectés en 2014 et 2015 venaient du site 1 (dans lequel il n’y a aucune truie).

Contrôle à l’abattoir en 2016
En Avril 2016 une autre inspection a été effectuée à l'abattoir. A cette occasion on a examinée à la fois des porcs des sites 1 (où on ne réalisait que des PS et des engraissements) et 2 (qui comprend les truies) ont été examinés. Les porcs du site1 avaient été déplacés là au moment du sevrage. Une différence marquée a été observée dans le niveau de pneumonie mycoplasmique et de péricardite entre les animaux des deux origines : dans le site 2 les niveaux de pneumonie étaient 50 fois plus élevés et ceux de péricardite 4 fois. La prévalence de la pleurésie était faible chez les porcs des deux sites.
La figure 3 montre les résultats de contrôle à l'abattoir d’Octobre 2015 et Avril 2016.

Différences entre les sites 1 et 2
La différence significative entre le niveau de péricardite et de pneumonie enregistrés chez les porcs des deux systèmes de production fut inattendue. Le niveau élevé de la maladie chez les porcs du site 2 (celui de la reproduction), par rapport à ceux du site 1, a eu lieu, même si on leur fournissait une nutrition, un logement et une attention préférentiels.
L'enquête qui a suivi a identifié les raisons de cette variation dans les niveaux de la maladie. Au sevrage, les porcs étaient séparés en deux groupes en fonction de leur poids. La sélection était faite visuellement parce que les porcs n’étaient pas pesés régulièrement. Le groupe de poids inférieur restait sur le site de reproduction (site 2) et les plus lourds étaient déplacés vers le site 1. La raison était de donner de meilleurs soins aux porcelets de moindre poids.
La figure 4 montre les données de la figure 3, dans laquelle on a remplacé les mots « site 1 » et « site 2 » par « lourds » et « légers ».

Tendances des contrôles
Le programme de contrôle AIMS enregistre, contrôle et produit des rapports sur les données obtenues lors des inspections des carcasses. La tendance d'un élevage individuel peut être évaluée au fil du temps ou on peut la comparer avec d'autres du même propriétaire ou de tiers. Les contrôles AIMS facilitent le suivi de la santé de la filière porcine au fil du temps. Les tendances de pneumonie mycoplasmique, pleurésie et péricardite de toutes les élevages irlandais inspectés par mon entreprise au cours de la période comprise entre Janvier 2014 et mai 2016 ont été examinées. Il s’est avéré que le pourcentage de porcs avec péricardite a doublé au cours de cette période, en passant de 4.5 % à 9%.
Les tendances de la pneumonie, pleurésie et péricardite sont présentées sur la figure 5.

Conclusions
Dans cet élevage, on a réussi à améliorer le contrôle de la pneumonie mycoplasmique après avoir modifié le programme de vaccination en passant d’une à deux doses.
La prévalence de pneumonie mycoplasmique et des lésions de péricardite était significativement plus élevée chez les porcs sevrés à faible poids, en dépit d’un meilleur système de production.
Les niveaux de péricardite ont augmenté de 100% (de 4,5 à 9%) dans les élevages irlandais inspectés par le système AIMS entre 2014 et 2016.
Discussion
La plus forte incidence de pneumonie et de péricardite chez les porcelets de moindre poids de cet élevage, malgré le traitement préférentiel reçu dans le post-sevrage, a provoqué une discussion avec l'éleveur au sujet de la meilleure façon de conduire les porcelets légers. Nous avons convenu que toutes les interventions qui augmentent le poids à la naissance ou au sevrage seraient bénéfiques.
Dans cet élevage, le poids moyen d'un échantillon aléatoire de 20 porcelets de faible poids au sevrage était de 6 kg. Bien que la différence du niveau de pneumonie (x50) et de péricardite (x4) entre les deux groupes de poids était élevée, le niveau absolu de pneumonie dans le groupe de faible poids était encore acceptable. Comme le poids au sevrage des petits porcelets n’était pas extrêmement faible et que les niveaux de maladie à l'abattoir n’étaient pas non plus extrêmes, nous avons décidé qu'il était pas indispensable de faire des ajustements du système de production. Dans d'autres élevages avec des poids de sevrage plus faibles et des niveaux plus élevés de la maladie, il serait justifié d'intervenir.
Dans de nombreux pays producteurs de porcs, y compris l'Irlande, il y a eu une augmentation de la taille de portée au cours des dernières années. Cela a conduit à la naissance d'un nombre toujours plus élevé de petits porcelets, qui ont tendance à avoir un poids de sevrage sous-optimal. À mon avis, la naissance de plus de porcelets ayant un faible poids est la clé qui explique l'augmentation des péricardites observées dans les abattoirs irlandais depuis 2014.
La péricardite peut être causée par une grande variété de bactéries comme Haemophilus parasuis, Streptococcus suis et Mycoplasma hyorhinis, qui peuvent également provoquer de polysérosite. Cependant, dans ce cas, et en Irlande en général, les élevages ayant une prévalence élevée de péricardite n'ont généralement pas des niveaux de pleurésie ou péritonite au-dessus de la moyenne. Identifier l'agent infectieux responsable de la péricardite dans les exploitations touchées peut être difficile. Par conséquent, il peut être plus productif de se concentrer sur les mesures visant à accroître le poids de naissance et au sevrage et d’aider les porcs souffrant d'insuffisance pondérale après le sevrage que de se concentrer sur le contrôle de la péricardite. Cependant, on a besoin de recherches sur les causes de péricardite comme une entité spécifique plutôt que dans le cadre du complexe polysérosite.