Wstęp
Opis dotyczy trendów w badaniu poubojowym świń pochodzących z fermy 280 loch stwierdzanych od października 2014 do kwietnia 2016 roku. W tym okresie zaobserwowano znaczące różnice związane z systemem szczepień przeciw Mycoplasma hyopneumoniae (M hyo) i różnicami w systemie produkcji.
System produkcji
W skład fermy wchodzą dwa obiekty. Ferma loch znajduje się w obiekcie 2. Warchlaki i tuczniki są utrzymywane zarówno w obiekcie 1 jak i 2. Co tydzień odsadza się około 160 prosiąt w wieku około 28 dni. Połowa z nich pozostaje w warchlakarni w obiekcie 2 a reszta jest transportowana do obiektu 1. Część świń z obiektu 2 (8 z 10 grup tygodniowych) jest przenoszona do tuczarni w obiekcie 1 a reszta (2 z 10 grup tygodniowych) trafia do tuczarni w obiekcie 2 (rycina 1).

Status zdrowotny
Ferma jest zakażona M. hyo, PRRSV, PCV2 i wirusem grypy.
Dezynfekcja, szczepienie i leczenie
Budynki gdzie odbywa się pierwsza faza odchowu są myte i dezynfekowane między grupami. Budynki drugiej fazy odchowu i tuczu są myte lecz nie dezynfekowane między grupami.
Prosięta są szczepione przeciw M. hyo (pojedynczą dawką do grudnia 2014 i podwójną dawką od grudnia 2014), PRRS i PCV2.
Pasza w pierwszych 7-14 dniach życia zawiera amoksycylinę i tlenek cynku. Później pasza zawiera tylko tlenek cynku. Warchlaki i tuczniki otrzymują paszę bez dodatków leczniczych.
Program dezynfekcji, szczepienia i medykacji w latach 2015-2016 zawiera tabela 1.
Tabela 1: Program dezynfekcji, szczepienia i medykacji w latach 2015-2016.
| Obiekt 2 Lochy+prosięta+warchlaki+tuczniki | |
| Wiek odsadzania | 28 dni |
| Higiena | |
| Warchlaki 1 | Mycie/Dezynfekcja |
| Warchlaki 2/Tuczniki | Mycie |
| Szczepienie | M. hyo. (7+28 dni) |
| PRRSV (14 dni) | |
| PCV2 (28 dni) | |
| Medykacja paszy | |
| Prestarter 1 | Amoksycylina, ZnO |
| Prestarter 2 | ZnO |
Monitoring poubojowy w latach 2014-2015
Badanie stanu zdrowia w ramach AIMS (Agrihealth Inspection and Monitoring Service) przeprowadzono w rzeźni w październiku 2014. Była to reakcja na wzrost przypadków zaburzeń oddechowych na fermie. Stwierdzono wysoki odsetek świń ze zmianami wskazującymi na zakażenie M. hyo. (50%) i średnim wskaźnikiem Goodwina (4,3). Zakażenie M. hyo. zostało potwierdzone w badaniu histopatologicznym płuc. Występowanie zapalenia opłucnej było rzadkie.
Szczepienie pojedynczą dawką przeciw M. hyo. zostało zastąpione szczepieniem dwoma dawkami, w 7 i 28 dniu życia.
Zaplanowano badania AIMS co 6 miesięcy rozpoczynając od kwietnia 2015 roku, kiedy ubijano ostatnie grupy szczepione jedną dawką.
W kwietniu 2015 roku 56% płuc miało zmiany związane z zakażeniem M. hyo. a wskaźnik zapalenia płuc wyniósł 5.9. Były to wyniki podobne do uzyskanych we wcześniejszym badaniu w październiku 2014 roku.
W październiku 2015 roku wykonano pierwsze badanie świń szczepionych dwoma dawkami przeciw M. hyo. Stwierdzono znacznie niższe występowanie zmian mykoplazmowych w płucach (35%, współczynnik Goodwina 1,4).
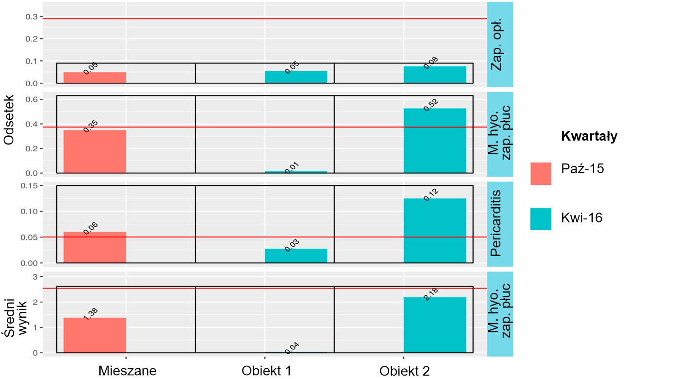
Wskaźniki zapalenia płuc, opłucnej i osierdzia w okresie od października 2014 do 2015 dla AIMS są przedstawione na rycinie 2. Świnie badane w 2014 i 2015 roku pochodziły z tuczarni z obiektu 1.

Badanie poubojowe w 2016 roku
Kolejne badanie przeprowadzone w kwietniu 2016 roku dotyczyło tuczników z obu obiektów. Świnie trafiały tam bezpośrednio po odsadzeniu. Stwierdzono istotne różnice w poziomie zmian zapalnych u świń z różnych źródeł, przy czym wyższy poziom zmian w płucach (współczynnik 50) i osierdziu (współczynnik 4) stwierdzono u świń z obiektu 2. Poziom zapalenia opłucnej był podobny u świń z dwóch obiektów.
Wyniki badań przeprowadzonych w październiku 2015 i 2016 roku przedstawiono na rycinie 3.

Różnice w systemie produkcji w obiekcie 1 i 2
Stwierdzenie różnic w poziomie zmian zapalnych w obu obiektach było niespodziewane. Wyższy ich poziom u świń z obiektu 2 niż z obiektu 1 stwierdzono mimo lepszych warunków żywienia i utrzymania.
Dalsze badania wyjaśniły przyczynę tych różnic. Przy odsadzeniu prosięta segregowano w dwóch grupach wagowych. Selekcję prowadzono „na oko” a świń nie ważono. Połowa najlżejszych świń była zatrzymywana na fermie loch (obiekt 2) a połowa najcięższych świń była przenoszona do obiektu 1. Zakładano, że lżejsze świnie będą lepiej żywione i będą miały lepszą opiekę w obiekcie 1.
Rycina 4 zawiera przegląd danych z ryciny 3. Oznaczenia „obiekt 1” i „obiekt 2” zmieniono na „ciężkie” i „lekkie”.

Trendy w monitoringu AIMS
AIMS analizuje dane uzyskane w badaniu poubojowym. Możliwa jest analiza trendów obserwowanych w poszczególnych fermach, porównywanie ferm jednego właściciela oraz porównywanie ferm do średnich z całego kraju. AIMS pomaga w monitorowaniu zdrowia zwierząt w całym przemyśle mięsnym. Trendy w stwierdzaniu zmian związanych z M. hyo., zapalenia opłucnej i osierdzia przeanalizowano dla wszystkich ferm w Irlandii, którymi opiekuje się nasza praktyka, za okres od stycznia 2014 do maja 2016. Okazało się, że odsetek świń ze zmianami w osierdziu uległ podwojeniu, z 4,5% do 9%.
Trendy w stwierdzaniu zapalenia płuc, opłucnej i osierdzia zaprezentowano na rycinie 5.

Wnioski
Zmiana system szczepień przeciw M. hyo. z pojedynczej dawki na podwójną zwiększyła skuteczność immunoprofilaktyki mykoplazmowego zapalenia płuc.
Występowanie mykoplazmowego zapalenia płuc i zapalenia opłucnej było istotnie wyższe u świń odsadzonych w niższej wadze, mimo odchowu w lepszych warunkach niż świń odsadzanych w wyższej wadze.
Występowanie zapalenia osierdzia w irlandzkich fermach wzrosło o 100% (z 4,5 na 9%), co wykazano w badaniach AIMS w latach 2014-2016.
Dyskusja
Częstsze występowanie zapalenia płuc i opłucnej u świń odsadzanych w niskiej wadze, mimo dobrych warunków odchowu, zainicjowało dyskusję z hodowcą w jaki sposób należy traktować mniejsze prosięta przy odsadzeniu. Zgodzono się, że pożądane są zabiegi zmierzające do zwiększenia masy odsadzanych prosiąt.
Średnia waga 20 najmniejszych odsadzanych prosiąt wynosiła 6 kg. Mimo różnic w występowaniu zapalenia płuc (50) i osierdzia (4) między grupami, poziom zmian u lżejszych prosiąt był akceptowalny. Ponieważ waga przy odsadzeniu najlżejszych prosiąt nie była krytycznie niska, i zmiany stwierdzane przy uboju nie były bardzo duże, zdecydowano, że sytuacja nie wymaga szczególnych zmian w systemie produkcji. W innych fermach przy wyższym poziomie zmian interwencje należałoby podjąć.
W ostatnich latach w wielu krajach, włączając Irlandię, doszło do wzrostu liczebności miotów. Skutkiem tego jest wzrost liczby prosiąt odsadzanych w niskiej wadze. W mojej opinii był to krytyczny czynnik, który spowodował wzrost odsetka świń ze zmianami zapalenia osierdzia stwierdzanymi przy uboju w Irlandii po 2014 roku.
Zapalenie osierdzia może byc wywoływane przez szereg bakterii takich jak Haemophilus parasuis, Streptococcus parasuis i Mycoplasma hyorrhinis. Wszystkie z nich mogą wywoływać zapalenie wielosurowicze. Z drugiej strony w Irlandii w stadach z wysokim występowaniem zapalenia osierdzia nie stwierdza się częstszego niż średnie zapalenia opłucnej czy otrzewnej. Stwarza to trudności w rozpoznaniu etiologii zapalenia osierdzia w tych stadach. Wydaje się, że korzystniejsze od zwalczania zapalenia osierdzia będzie skupienie się na wzroście wagi urodzeniowej i wagi przy odsadzaniu prosiąt. Badania nad zapaleniem osierdzia, jako samodzielną chorobą, a nie jako elementem zapalenia wielosurowiczego, powinny być kontynuowane.